6.3 土壤盐分一维动态模型
2025年09月26日
6.3 土壤盐分一维动态模型
土壤盐分动态的研究已有很长的历史,但是直至多孔介质中水动力学理论在土壤非饱和流中应用后,土壤溶质运移方程才逐步应用于研究土壤盐分和其他化学物质的移动。Lapidus等(1952)、Presler(1969,1973,1982)分析了土壤盐分运动的机理,将导致土壤盐分运移的动力归之为对流、扩散和弥散3个方面,提出了土壤盐分运移的基本方程为:

q=υθ
在瞬态过程时,盐分在土壤中的三维运移方程为:

在一维情况下,溶质运移方程为:

在稳态水流情况下,q与θ不变,设Dsh=D,方程转换为:

式中 J:溶质通量(密度);
Dsh:扩散一弥散系数;
D:表观扩散系数;
θ:容积含水量;
υ:平均孔隙流速;
c:溶质浓度;
q:水通量(密度)。
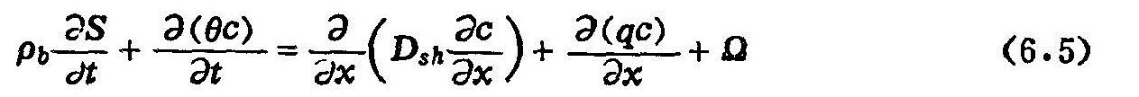
在考虑到盐分在土壤中运移时,常发生溶质与溶质之间、溶质与固相之间的相互作用,如沉淀与溶解、吸附与解吸和交换等过程以及可能发生的各种生物化学反应。盐分运移基本方程中又可加上吸附交换项和源汇项。源汇项不仅可反映上述化学反应,同时也可包括根系对盐分的吸收。方程如下;

式中 ρb:土壤容重;
S:吸附或交换量;
Ω:源汇项。目前,在运用盐分运移基本方程计算,重金属元素和农药在土壤中的运移,以及盐渍土中的盐分积累和淋洗等方面起到了重要作用,使盐分动态的估测由定性和半定量进入到定量化的阶段。在此基础上,又从研究单个离子运动,进而发展到考虑多个离子的相互作用(Robbins,1980)和源汇项反应(Nye,1985;Melamed,1977)。
这里介绍两种土壤多离子运移模型(陈文林,1990),其一反应了饱和土壤中4种主要离子,在运移过程中的各种作用及其参数估计。另一在计算田间土壤盐分运移中,充分考虑到离子组成比例不同,对盐分运移参数的影响。