风险条件下农民工返乡创业成本收益分析

二、风险条件下农民工返乡创业成本收益分析

创业并非易事,特别是对那些返乡创业的农民工,所具备的创业素质和创业能力有限,这就要求返乡创业农民工在创业过程中要通盘考虑,不仅要考虑创业过程中看得见的风险,还要防范潜伏在暗处的风险,这些风险都有可能导致创业失败。一般而言,创业过程中可能遇到的风险大致可分为两类:可控风险和不可控风险。可控风险可事先多了解,从而进行规避;而不可控风险只能采取尽可能降低风险的方式以减少损失。但无论是可控风险还是不可控风险,都可以提前做好准备,尽可能地减少创业过程中的损失。

具体来说可控的创业投资风险包括:管理风险、财务风险等。管理风险是指在创业时管理层的素质和经验、决策水平、管理团队的稳定性等都存在不确定性;财务风险主要是指资金链的问题,要保持不断裂。不可控的创业投资风险一般包括自然因素、政策因素、技术因素以及市场风险。自然因素指企业所依赖的自然资源条件,包括地势、交通、自然环境;政治因素是指创业所投的项目是否符合不同时期所颁布的经济政策以及法律方针,政治因素对创业活动起着决定性的作用;市场风险是指创业者在创业的过程中所从事的经济活动盈利或亏损的不确定性而产生的风险,市场风险随着经济的发展而不断变化。不可控风险并不像可控风险一样可以提前采取相关的措施进行规避,不可控风险只能采取相关的措施将企业的损失降到最低。农民工创业一定要擦亮眼睛,平时多关注一些时事政策,紧跟政策风向,提前做好市场调研,认真分析市场前景。

除此之外,返乡农民工还承受着其他的风险,比如说法律风险。据调查,大部分返乡农民工文化水平都不高,所掌握的创业相关的法律知识十分有限。政府需要进行广泛宣传,让返乡农民工的创业之路走得更加顺遂。

假设用于产品投入的总资金为m,根据当地的经济条件和需求的大环境,适合进行生产售卖的有产品a、产品b、产品c等(本书仅考虑这3种产品,且假设生产数量/购入数量等于销售数量,现实中情况可能更为复杂),与此对应的产品售价分别为s1、s2、s3;产品成本分别为t1、t2、t3;产品销量分别是x1、x2、x3。如表5-5所示。

表5-5 农民工返乡创业产品成本与收益

产品的成本和用于产品投入的总资金既定的条件下,产品的销售量需满足t1*x1+t2*x2+t3*x3≤m,且x1、x2、x3均大于等于零。

因此假设收益R(x)=(Ss11-t1)*x1+(Ss22-t2)*x2+(Ss3-t3)*x3(式5-4)

根据上述公式,很明显x1、x2、x3为变量,在产品的成本、售价和总资金投入确定的情况下,可供选择的生产销售组合很多,假设共有n个,其中根据创业者个人偏好或者当地市场的具体情况,创业者选择不同组合的概率分别为n1,n2、n3……nn(其中n1+n2+n3+……+nn=1)与之对应的选择不同组合所带来的收益也不尽相同,已知收益用R(x)表示,则对应的收益为R1(x)、R2(x)、R3(x)……Rn(x),其中收益肯定会有最大值,也会有最小值,但是与之相比,明显平均值更具有代表性,所以我们选择平均值:

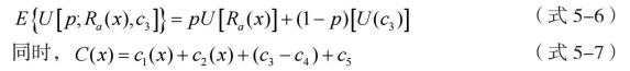
在创业时,所有创业者总是希望收益能够取得最大化,但是也会面临不确定性和不确定性所引致的风险。尤其是农民工在返乡创业的时候不仅缺乏创业的相关经验,而且获取市场信息的渠道比较窄,资金来源比较有限,在各种因素的制约下,农民工返乡创业面临着极大的阻力,又加上农民工面对风险的态度不同,他们有可能是风险规避型,这部分人基本上直接选择外出务工,稳稳当当地赚取每个月固定的工资;也有可能是风险偏好型,他们生性喜欢挑战,更容易选择创业。为了简化分析,本书只考虑两种情况之间的比较,即,如果返乡农民工不选择创业,那么他就选择外出务工,而外出务工的收入相对是确定的c3,若将这些不确定性都考虑进去,则包含风险的农民工返乡创业的期望收益变为:

式5-6中的p代表的是农民工创业成功的概率,p的取值范围是[0,1],R(x)代表农民工创业的收益函数,它随着x的增大而不断增大,即产量越大,农民工创业所获得的收益就越大。

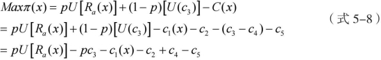
从以上的式子中可以看出,若农民工所获得的净收益大于零,那么他就有利可图,他会选择创业,如果创业的净收益小于零,也就是期望收益连他所付出的成本都弥补不了,那么他自然不会选择创业。此外,从公式中我们还能够得出影响预期净利润的主要因素包括:农民工创业所取得的收益、农民工外出就业的收入c3、与产量有关的企业生产产品的各种变动成本,销售产品所花费的销售费用,农民工外出务工所花费的路费,子女在外上学所花费的各种成本。在以上的成本中,农民工外出务工所取得净收益是定值,不随产量的变动而变动。因此,农民工创业所取得的净收益完全取决于风险条件下生产销售产品的花费以及在当地创业的其他花费。