农民工返乡创业投资风险评估模型构建
2025年09月26日
二、农民工返乡创业投资风险评估模型构建
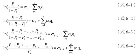
(一)有序Logistic回归模型
有序Logistic回归模型是指因变量为3个及3个以上的分类变量,且因变量之间存在等级类别的回归模型。设有序因变量Y有k个等级分类并分别赋值Y=1,Y=2,……,Y=k,各Y值间关系为(Y=1)<(Y=2)<……<(Y=k),共有k-1个分界线分开相邻类别;解释变量为X=(q1,q2,q3,……,qn),则Y取第j个水平的概率为Yj,其中,j=1,2,…,k,并且P1+P2+…+Pk=1。利用有序Logistic回归模型构建分类的概率估计模型,因此,Logistic回归模型有k-1个Logit函数:
其中,Pk为不同类别发生的概率,表示回归的截距项,α
α,)nn(n=12…n
表示回归系数。
根据上式,可得:
将这两式相减,可以得到因变量在某一类别的概率:
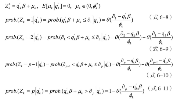
(二)有序Probi t回归模型
本书涉及返乡农民工创业投资风险评估的相关数据均是以分类为主的离散型数据,且被解释变量的离散数值也均大于两类。因此,本书采用屈小博的有序Probi t模型来进行实证分析,其数学表达式如下:
其中,Zk*为不可观测的潜在因变量,Zk为可观测因变量,qk是解释变量,k(1=1,2,3……,n)表示观测值,β表示待估系数,μk表示随机解释变量,φk2表示μk的方差,p表示状态参数,∂i(1=1,2,3……,p)表示区间分界点,θ表示标准正态累计分布函数。