网络新媒体语境下电影营销方式的转变——以《泰囧》成功的微博营销策略为例
网络新媒体语境下电影营销方式的转变——以《泰囧》成功的微博营销策略为例
李宁(注:李宁,上海大学影视艺术与技术学院,13级新闻与传播学硕士研究生。)
2012年底最火的电影,非《人在囧途之泰囧》(以下简称《泰囧》)莫属。《泰囧》自上映以来就获得了巨大的成功,一部成本不到3000万的影片上映一周票房突破4亿,且最终票房12.6亿成为有史以来最卖座的华语电影,并险些成为内地票房冠军,这实在创造了票房神话。如此大的反响背后其实有着互联网新媒体的重要作用。
互联网时代,网民的搜索量可以在另一方面反映出对一部电影的态度,因此我们从周星驰电影、《失恋三十三天》、《泰囧》三个电影的搜索量(见图1、图2、图3)来研究其各自背后宣传营销的主要动力。

图1 网民搜索量:周星驰电影百度指数

图2 网民搜索量:《失恋33天》百度指数

图3 网民搜索量:《泰囧》百度指数
上面三幅图中我们可以很明显的看出:“周星驰电影”的搜索量始终趋于稳定状态,就算是在媒体关注度很低的情况下,搜索量也会保持在一定范围;《失恋33天》是2011年的另一个小成本电影的票房奇迹,不过从“失恋33天百度指数”图可以看出,这样的电影十分依赖于媒体关注度,没了媒体关注度几乎就没了搜索量,而且该曲线呈现出很明显的先增后减趋势,而且显得很不稳定;“泰囧百度指数”这幅图中,现下正处于上升阶段,不过,我们可以预测也将会呈现像“失恋33天百度指数”那样的曲线。这里所说的媒体关注度是什么,就是宣传,而宣传的途径包括哪些,可以使口碑,可以是炒作,总之隶属于互联网营销。
从一开始的《失恋三十三天》运用豆瓣、人人网成功地尝到网络营销的好处,到现在《泰囧》的微博营销带来的巨大成功。当传统的电影营销环境因为新媒体的进入而发生改变的时候,电影的营销手段自然也要发生改变。随着新媒体的日渐发展成熟,电影的营销手段也更加丰富多样。越来越多的电影营销专员将电影前期营销宣传重点放在网络新媒体上面来。尤其是新媒体、社交媒体的代表——微博、人人网等。
而以微博为代表的新媒体,凭借其交互性、自主性的特征,使得信息自由度和透明度显著提高,传媒方式发生了前所未有的转变。任何用户只要在自媒体上注册用户后,就可以在法律规定的范围内自由撰写、分享、评价、讨论和相互沟通。在这里每个用户都是传播者和受传者,他们可以任意发布、转发和评论自己感兴趣的内容。近几年兴起的比较成功的自媒体有微博、人人、微信等。自媒体的突出特点是用户量大、内容丰富,交互性强,裂变式、聚合式传播。下面我们就以新浪微博为代表详细分析一下微博的特点。
一、微博的特点
1.用户量大,内容丰富
据新华网北京2月20发布的微博用户最新数据,截至2012年12月底,新浪微博注册用户数已超过5亿,日活跃用户数达到4620万。
71.5%网民通过互联网获取新闻信息的渠道正在发生转移。全民“织围脖”产生的海量信息,必然使微博上的内容丰富多彩,不一而足。另外,因为用户的背景千差万别,关注的焦点必然不同,即便对同一事件,看问题的角度也更加多元,故报道的内容也更为丰富,信息量也更大。微博传播内容的丰富性,还体现在微博不仅支持用户发送文字和图片信息,还可以在信息中链接视频、音频等多媒体内容,甚至发起自定义的话题和投票等,信息的多样性得到了很好的扩充。
2.交互性强
在传统媒体的传播理念中,传者和受众是严格区分的,传播方式通常是单向的,传者主动地传播信息,受者被动地接受信息,双方无法随时随地进行沟通;而作为一种自媒体、社交媒体的微博,具有关注、转发、评论、私信等功能,这些功能方便了信息的交流与沟通,用户可以充分参与到事件的讨论之中。信息的传播具有很强的交互性。一则微博刚刚发布,用户便可以即时进行转发、评论,快速进行双向交互沟通,相对于传统的大众传媒来说,大大加强了传者和受者交流、互动的频率和速度。
3.裂变式、聚合式传播
微博具有关注、转发、评论、私信等功能,当一位用户发布关于某一信息的微博后,他的相关粉丝便会转发,而粉丝的粉丝便再次进行转发、评论,进行二次、多次传播,使得信息的传播呈现n*n的裂变式传播,使得信息能在短时间内在极大的范围内快速、高频的传播。大大高于传统电视、报刊的传播效率。
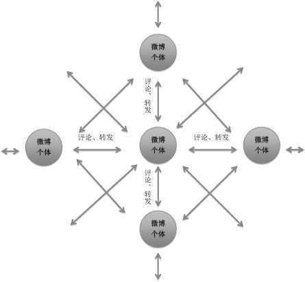
当微博内关于某一新闻形成舆论并超过一定数量的关注讨论时,便会在微博中形成热点,让更多对其感兴趣的用户参与进去,使得该热点的舆论效应越来越大,从而产生极大的传播效应,如图4所示。

图4 微博的传播效应
新媒体营销绝对不是传统营销的简单移植。新媒体营销是在传统营销基础上利用新媒体特性进行的创新营销。新媒体营销的创新之道归因于两点:一是新媒体自身的特点,如互动性、娱乐性、碎片性等;二是营销人对新媒体的善加利用,如新媒体的整合营销和口碑营销。以《泰囧》为代表的电影就是很好的利用了微博这些特点进行有效的营销宣传,从而为电影日后的成功制造了很好的广告营销效果,奠定了广泛的网民基础。我们现在就以泰囧为例来分析以下网络新媒体时代下电影的各种营销策略。
二、微博的营销策略
早在《泰囧》上映前两个月,光线的营销计划就已经启动。其宣传内容非常丰富,包括30多款海报,多款预告片。以预告片为例,包括先行版、剧场版。其在微博、人人等网络新媒体上的营销从11月就已经开始,而其在微博上营销策略可以分为前期明星效应营销,中期视频、海报轰炸营销,播放时期口碑营销三种类型。
1.前期明星效应营销
早在在2012年11月《泰囧》营销方案启动的前期,微博已经开始陆续透露出关于电影拍摄的一些细节,尤其是演员的阵容吸引了广大网友的目光。徐铮、王宝强作为国产喜剧片的“王牌组合”,受到广大影迷的喜爱,二人在《人在囧途》中的精彩表现已经给观众留下深刻的印象,而黄渤的加入更为《泰囧》增添亮点和关注。而且《泰囧》打着《人在囧途2》的旗号,间接地又借了《人在囧途》已经有的群众基础和宣传效应,更吸引了不少目光。徐铮此次不光作为演员出现,更是亲自导演,他的“徐氏喜剧”已经有口皆碑,让人充满期待。
这些演员阵容、海报等的电影宣传消息一经发出就引来网友无数转发与评论。早在上映之前,微博上关于该片的主流评论,被引导为“我们就是一部喜剧小片”、“纯粹”、“搞笑,能让你笑出多少块腹肌”等内容。出品方还在网上发布了《泰囧》系列物料,色彩明快、风格鲜明、笑料十足,徐铮、王宝强、黄渤三人组成的“囧神”组合,因其接地气又特色鲜明的角色形象,成为网民竞相创作的灵感来源,连著名漫画家陈柏言都为三人创作了漫画形象。随后,网络上刮起了“全民P图”风,使《泰囧》还未上映,就受到了网络热捧。
此时微博庞大的用户量与裂变、聚合式传播起到了强大的宣传营销作用,截止11月中旬微博上关于《泰囧》的搜索结果已达到上百万。微博上形成了各种各样关于《泰囧》的热点和话题,一度登上微博综合热搜榜。
《泰囧》前期的微博营销取得了不错的效果,这也为中后期的密集宣传营销和后期口碑营销奠定了广泛的受众基础。
2.中期视频密集轰炸营销
《泰囧》中期的微博营销是此次网络营销战略中最重要的一环,其丰富的宣传内容,包括30多款海报,多款预告片,在此阶段开始密集轰炸式公布投放。由于前期的微博造势,已经积攒了大量的人气和网络效应,因此此策略一经实施,微博上关于泰囧的话题、转发和评论开始呈现爆发式增长。视频转发的次数也呈现惊人的增长。各种各样的视频版本开始出现:先行版、剧场版、最终版等。
在微博之中,随着越来越多的人的关注,以及主角们的采访视频,泰国的异土风情也慢慢的浮现在我们眼前。在微博上,《泰囧》也成为了大家议论的热点话题,微博成为了讨论《泰囧》的一个欢乐的大平台!据说在微博上关于泰囧的消息就多达420万条,让微博用户无法不去关注到它。
这一阶段的微博营销出现了一个很重要的现象,就是与很多微博营销案例不同,此次《泰囧》的传播内容有很多来自网友的原创,大家参与的方式不仅仅是转发。这个现象对于网络营销有很大的启示:
第一,《泰囧》营销人员对此次电影的消费者定位非常准确,是针对20~30岁的年轻人群,这一人群的主要特点就是现实生活压力大,喜欢在网络中找到减压、娱乐的方式,因此在网络他们喜欢恶搞,喜欢及时行乐,而《泰囧》的每一次预告片的投入都只找准一个主题“我们就是一部喜剧小片”、“纯粹”、“搞笑,能让你笑出多少块腹肌”,这种纯粹简单的快乐、搞笑反而能引起广大年轻微博用户的共鸣与支持。由于网友们的这种支持与创作,对整体营销传播起到了很好的推波助澜效果。因此电影营销方在进行网络营销传播时一定要遵从受传者为中心的原则,因为微博是自媒体,广大的微博用户网民才是真正的传播中心和主体。
第二,此次网友们对泰囧宣传片、海报的恶搞和原创,证明了《泰囧》的营销方在宣传中融合了可以激发二次创作的内容,可以引发网友们强烈反应进行二次传播的内容。因此在以后的电影微博营销中,营销方可以在宣传内容中设置有利于引起广大网民共鸣去二次传播的内容。
3.播出时期的微博口碑营销
“千呼万唤始出来”,在经过“世界末日与其等死,不如笑死”的口号宣传,以及徐铮发布微博《泰囧》将要提前播出的一系列营销宣传手段后,《泰囧》终于在2012年12月12日公映,上映后的火爆程度大家都已经有目共睹。
播出后《泰囧》进行的微博营销策略也随之发生改变,主要策略是口碑营销。上到众多有影响力的微博大V,下到普通微博用户,所有受众疯狂传播,推荐大家去观看的信息无处不在。而在这其中关于泰囧观影体验的负面信息几乎很少,所有这些都为泰囧的票房提供了最有利的保证。互联网时代,口碑营销尤为重要,借助微博这个快速传播媒体,所有信息短时间内就是一传十,十传百的爆发式增长。这其中还有一个最重要的营销体现方式就是视频,几乎每一个看过的人都会去转发,从而使流传度也不断增强。一部小成本电影却带来了如此多的欢乐,不得不说本身就是一种魅力。
由《泰囧》此次微博营销的巨大成功,我们可以总结出微博的营销优势有以下几点:
1)以极低的成本建立营销渠道
传统的电影宣传营销多采用电视、报纸等传统大众媒体,优点是用户接触面大,可迅速达到广告宣传的效果,但其缺点也是显而易见的,需要巨大的宣传营销费用,这对电影制作的资金带来了巨大的压力。但随着互联网新媒体的发展,尤其是微博、人人这类的自媒体来说,建立广告传播和营销平台的成本几乎为零。新浪微博现在仍然允许企业用户以自媒体的身份在微博上建立广告营销传播平台,允许发布企业与产品的营销活动广告。另一方面,也是最重要的,如此低成本的新媒体营销并没有减弱宣传效果,用户量巨大和裂变式的传播方式使传播效果有时根本不输大众传媒。
2)与受众积极进行互动交流
微博一个最重要的特点就是交互性强,在微博中,只要进行答复,所有人都可以看到,并可以进行快速的交流与互动。微博传播将传统的大众传播变成快速的人际传播。用户高频的交流互动极大的推动了电影的营销宣传。
《泰囧》以及其他电影媒体成功借助微博网络新媒体营销向我们证明:互联网新媒体飞速发展的今天,网络新媒体对传统媒体的冲击,占据着人们的生活,电影等传统媒体的营销传播方式也必须随之改变,互联网新媒体的营销必须成为商业上不可缺少的手段,而往往小手段就能发挥巨大作用,这也是各商家对此趋之若鹜的原因。
电影在网络新媒体时代的营销方式的转变,向媒体人提出了一个重要的议题:传统媒体比如广播电视等也可以借助网络新媒体发展带来“借力使力”,利用新媒体的优点来弥补自己的不足,积极转变传播策略,扩大自己的影响,这样才可以在新媒体的冲击下得到更好和更快的发展。“柳暗花明又一村”正是现在传统媒体面临的现状,而如何让自己在这新媒体迅速崛起的“柳暗花明”中全力加速前行,早日见到不一样的“村”落,这是我们现代媒体人应该共同思考的问题。
参考文献:
[1]钟乙华.新媒体环境下的电影营销[J].当代电影,2010(4).
[2]陈超,熊磊丽.电影《失恋33天》之官方微博营销分析[J].东南传播,2012(07).
[3]刘思琦.新媒体营销的创新之道[J].现代商业,2013(26).
[4](美)Shel Israel.微博力[M].北京:中国人民大学出版社.2010(01).
[5]范玉明.微博——电影营销的新手段[J].电影评介,2012(10).
[6]胡珂.浅谈微博时代的国产电影营销策略[J].青春岁月,2012(02).