8.4.1 y
(n)=f(x)型

求解方程(8.4.1)可通过逐次积分求得.
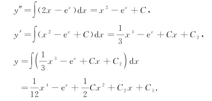
例1 求方程y‴=2x-ex的解.
解 对方程两端逐次积分三次,得

记
,即得所给微分方程的通解
.其中,C1,C2,C3都是任意常数.
用MATLAB软件求解如下:

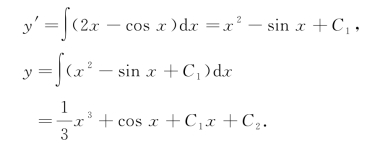
例2 求解微分方程y″=2x-cosx在y|x=0=1,y′|x=0=2的特解.
解 对方程两端逐次积分三次,得

即得所给微分方程的通解为
(C1,C2为任意常数).
将初始条件y|x=0=1,y′|x=0=2代入上式可得C1=2,C2=0.
因此,该微分方程的特解为
.
用MATLAB软件求解如下:
