金属材料焊接性的评定方法

三、金属材料焊接性的评定方法

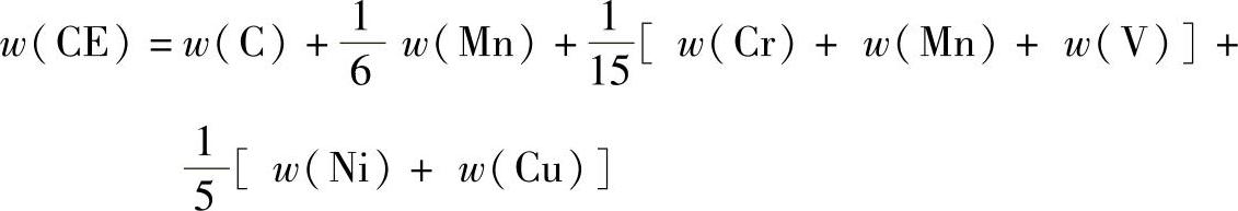
1.碳当量法

根据钢材的化学成分与焊接热影响区淬硬性的关系,把钢中合金元素(包括碳)的含量,按其作用折算成碳的相当含量(以碳的作用系数为1)作为粗略评定钢材焊接性的一种参考指标。计算碳当量的经验公式很多,常用的是国际焊接学会(IIW)推荐的碳当量(%)公式;

978-7-111-28702-5-Chapter07-8.jpg

碳当量w(CE)值越大,钢材的淬硬倾向越大,冷裂纹敏感性也越大。经验指出:当w(CE)<0.4%时,钢材的焊接性优良,淬硬倾向不明显,焊接时不必预热;当w(CE)=0.4%~0.6%时,钢材的淬硬倾向逐渐明显,需要采取适当的预热和控制热输入等措施;当w(CE)>0.6%时,钢材的淬硬倾向大,属于较难焊接的金属材料,需要采取较高的预热温度和严格的工艺措施。

由于计算碳当量时,没有考虑焊接残余应力、扩散氢含量、焊缝受到的拘束等,故只能粗略地估价金属材料的焊接性。

2.直接试验法

直接试验法是按规定要求来焊接工艺试板,以检测焊接接头对裂纹、气孔、夹渣等缺陷的敏感性,作为评定材料的焊接性、选择焊接方法和焊接参数的依据。

常用的直接试验法有:斜Y形坡口焊接裂纹试验法(简称小铁研试验法)、搭接接头焊接裂纹试验法(简称CTS法)等。