3.7.2  基于有限微分法的射流自由边界计算(软件:Flow3D)

3.7.2 基于有限微分法的射流自由边界计算(软件:Flow3D)

基于泡沫形成和长大的喷墨行为,为了分析包括喷嘴直径流体通路的设计方式、墨滴喷射体积、喷射速率和其他流体性能,用Flow3D建立流体模型是非常有效的。

Flow3D是美国洛斯阿拉莫国家试验室C.W.Hirt创建的Flow科技开发的产品,Hirt提出了流体体积(VOF)法。VOF法是一个可以预测气液界面动态特性的方法。流体分析中的基本公式是基于质量守恒的连续欧拉公式,如下所示:

978-7-111-51584-5-Chapter03-10.jpg

式中,ρ为密度;t为时间;v为流速矢量。

978-7-111-51584-5-Chapter03-11.jpg

图3.8 热传导模拟模式(Ansys)

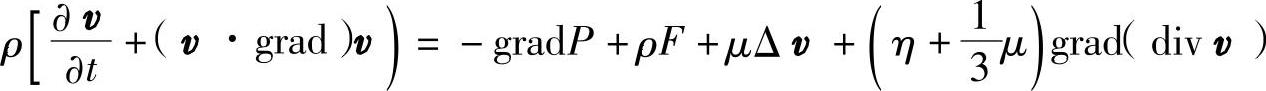
纳威尔-斯托克斯(Navier-Stokes)方程如下:

978-7-111-51584-5-Chapter03-12.jpg

式中,P为压强;F单位质量的外力;μ为剪切黏度;η为体积黏度。

与VOF法相结合可以计算出空气中墨滴的喷出。

墨滴滴落行为基于有限差分法的数值分析条件如图3.9所示,在这里流程、喷嘴、喷射出的墨水滴落区域建立二维直角坐标系,包括在空气一侧自由出入边界,在流程墨水入口一侧恒压边界,以及其他边的边界。喷射区域大小与分析得出的墨水滴落区域大小一致。作为初始条件,加热器表面的蒸气泡沫推测是基于一定温度、气压、体积下克拉贝隆-克劳修斯(Clapeyron-Clausius)等温方程形成。

978-7-111-51584-5-Chapter03-13.jpg

图3.9 喷墨的模拟模型(Flow 3D)