7.2.2  润滑近似

7.2.2 润滑近似

为了估计Navier-Stokes方程数量级的大小,假设一个具有代表性的数据:V=1×10-6m/s、R=1×10-4m、H=1×10-5m、Rc=1×10-3m、σ=0.03N/m、ρ=1×103kg/m3η=1×10-3Pas。有这些数据可以得到We=3×10-12、Ca=3×10-6、Bd=3×10-3

根据溶液在干燥过程中的初始浓度,黏度会增加几个数量级,导致毛细管数成比例增加。然而小Bond和韦伯数证明,目前的缩放是有效的。因为选择的参数是典型的数值,在式(7.3)和式(7.4)左边的对流项、重力项、在式(7.3)黏度上的水平方向衍生项、垂直Navier-Stokes方程式(7.4)完整的黏度项可以忽略。

因此控制方程可以简化为

978-7-111-51584-5-Chapter07-9.jpg

为了方便起见,省略星号。这些方程类似导出了Fischer[10]的轴向对称情况。这里使用的近似,水平长度尺度大于垂直尺度,被称为润滑近似。

从式(7.8)可以看出,压力的数值仅仅是坐标x和y的函数。u可以由式(7.9)在基板没有滑移uZ=0)=0、在接口没有压力边界∂u/∂Z=0的条件下,由Z=hxY)决定:

978-7-111-51584-5-Chapter07-10.jpg

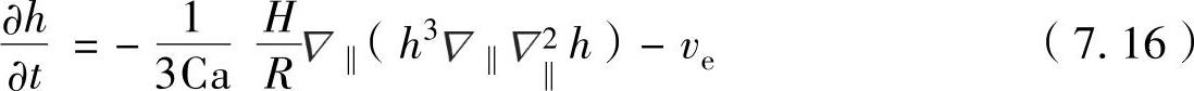
接口的时间演化高度hxy)是由垂直方向的连续方程决定的。结果为

978-7-111-51584-5-Chapter07-11.jpg

在这里,括号表示液滴的平均高度。此外,在最后一步,式(7.10)已经代替了流体速度,并且ve表示当地的蒸发速度。这个方程可以解决如果压力可以由液滴的高度表示、如果当地的蒸发速度是已知的。对于重力和静水压力可以忽略不计的润滑近似,压力的两项因素必须予以考虑:p=pL+Π,一个因素是表面张力造成的压力,这取决于当地的曲率界面和润滑近似:

978-7-111-51584-5-Chapter07-12.jpg

另一个因素是分离压力,它和分子间相互作用有很大联系,并且可以描述一条移动的接触线。对于没有接触线的情况,会使用Schwartz和Eley[11]提出的方程:

978-7-111-51584-5-Chapter07-13.jpg

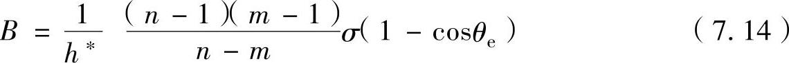
式中,B是一个正数;nm,并且nm,是两个正整数常量;h*表示前驱膜的厚度,并且假设薄膜覆盖基板的干燥部分。

可以看出楔裂压力只有一项作用,如果液滴的高度和前驱膜厚度是同一数量级的,而不是常数。式(7.13)第一项描述了液体和固体之间的斥力,而第二项是吸引力。相关常数B是平衡接触角θe是在静止状态下的一种平衡力:

978-7-111-51584-5-Chapter07-14.jpg

对于小角度的接触角,也可以表示为

978-7-111-51584-5-Chapter07-15.jpg

nm,各种可能性已经在相关文章中被提出,nm的变化可以改变势阱的深度和小距离排斥力。当n=9、m=3时可以运用于著名的Lennard-Jones势阱。Teletzke等人[12]使用n=3、n=2模拟固体基板上的水滴蔓延。这些值低的优势在于拥有更好的数值算法的稳定性。

对于固定接触线,楔裂压力可以忽视,因此空气的交互和液滴不需要建模。在这种情况下,液滴高度的演化方程取代式(7.12)、式(7.11)为

978-7-111-51584-5-Chapter07-16.jpg