10.3  测量原理

10.3 测量原理

所以,压电材料可以用作驱动器和通过使用逆(驱动器)和直接(传感器)压电效应的传感器。前者包括一个电压V施加到压电单元的作用以及压电单元的位移γ。后者指的是,力F施加到压电材料表面上导致产生电荷Q。总之,这种行为可描述为

978-7-111-51584-5-Chapter10-1.jpg

式中,C为压电元件电容;d为压电元件充电常数;k为压电元件刚度。

将电子驱动电路中的压电元件切换出去,来测量电路中的压电元件,这是喷墨通道内的平均压力。现在,这将被称为声学信号总力的精确记录(见图10.1)。施加第一个驱动波需要2~20μs。在那之后,下一个动作周期开始压电元件的电流才可以被测量。此安装方法的主要问题是,压电元件的充电振幅比声音信号至少大两个数量级,压电振幅通常为100μA。压电元件的大放电电流可以干扰测量,所以声学测量开始之前压电元件必须被完全充电。

然而,比起参考信号,驱动过程中的声学测量的可能性更大。所测量的信号Q有两个作用:第一,所施加的驱动电压V经压电电容C被作为直接路径;第二个贡献来源于,墨水通道内施加的力F的压电充电常数k被作为间接路径。第二个作用所产生的是所需信号,它必须从所测量的信号Q中提取,因此,直接信号将导致必须从间接信号中减去压电元件上的电压,如图10.2所示。

978-7-111-51584-5-Chapter10-2.jpg

图10.1 声学测量简图(切换电子驱动电路和测量电路之间的压电元件,能够驱动通道和测量通道内压力的变化)

978-7-111-51584-5-Chapter10-3.jpg

图10.2 墨水通道内的测量模块的阻抗与同时获得驱动和传感信号的基本原理

一种选择是衡量桥接结构的参考电容或更好的与另一个通道作为对照[5]。一个完整的墨水通道的测量信号由两部分组成:直接和间接路径。被测信号的一个空墨水通道只包含对直接路径有作用的。然后,通过减去测量信号能够获得间接路径或传感器信号。

后者需要的硬件补偿压电元件完全一样。然而,由于漂移或生产公差的小差异总是存在,所以由此产生的信号没有切换后测量的信号准确。

为了减少压电能力差异的影响,可以采取以下措施:

· 温度的差异。压电能力的差异是由于温度和压电元件的差异造成的。通过隔离压电式喷墨打印头,这些差异能最小化。

· 压电能力的差异。各种压电阻抗元件的匹配通常会得到令人满意的结果。

· 对传感器测量结构效果的影响。尽管墨水通道是空的,由于结构的变形,间接路径上可能出现一个小的贡献。当声学水平足够低时这种效应可以忽略(见第5章)。

另一个选择是计算声学直接路径的贡献,并且从测量信号中减去[6,7]。其主要缺点是需要计算有关补偿与所需压电模型的准确性。压电元件的非线性行为很难准确的去模拟,导致与试图获得的传感器的信号比起来,至少误差显著减小。

1943年发现的钛酸钡(BaTiO3)是第一个具有钙钛矿结构的压电陶瓷(正方形/菱形的结构非常接近立方体)。S.Roberts在1947年发现钛酸钡的压电效应。在1954年,B.Jaffe报道发现了压电陶瓷Pb(ZrxTi1-x)O3,锆钛酸铅(PZT)(美国专利2708244)。在接下来的几年里,PZT是压电陶瓷材料的主要工业产品[8]。许多驱动器出现并使用了压电陶瓷PZT[9]。

陶瓷钙钛矿的立方结构在它们的居里温度以上是稳定的。当温度降低低于居里温度时,结构发生变化。立方结构变成一个低等级钛的菱形结构或者高等级钛的四方结构。菱形的结构可以被视为一个立方结构,沿着晶轴拉伸的单胞。正方结构可以看作立方结构,沿着点阵矢量方向之一拉伸。所以温度在居里温度以下时,O2-和Pb2+离子从它们立方位置移动并且Ti4+和Zr4+离子从立方体的中心移动。正离子和负离子的充电位点不同,这导致了偶极子产生。因为充电位点在居里温度以下不一致,外部电场会趋向于使结构变形。这是逆压电效应。

一般来说,一对电偶极子只发生在晶体的特定区域,而其他地方的极化可能发生在相反的方向,这些区域被称为铁电畴。为了让材料有压电性,它们必须是连接的。直流电压的线路强行横穿过材料。铁电畴对齐的区域将导致网压电效应。并不是所有的区域完全成为一致,它们中的一些只是部分对齐和一些根本不对齐。这导致磁滞非线性行为。

一般来说,线性关系用于模拟,例如:

978-7-111-51584-5-Chapter10-4.jpg

式中,978-7-111-51584-5-Chapter10-5.jpg是电位移场(或电荷密度);978-7-111-51584-5-Chapter10-6.jpg应用于电场;978-7-111-51584-5-Chapter10-7.jpg应用于机械应力;978-7-111-51584-5-Chapter10-8.jpg是压电的矩阵压电系数,和逆压电效应作用相同;978-7-111-51584-5-Chapter10-9.jpg是矩阵介电常数。

声学测量,从压电元件处测量电流。墨水电流Ip从压电元件面积Ap方程给出:

978-7-111-51584-5-Chapter10-10.jpg

式中,D为电位移或极化和压电元件驱动方向电荷密度。电场的驱动方向,E=V/hphp为压电元件的高度,能够从式(10.2)求得:

978-7-111-51584-5-Chapter10-11.jpg

式中,deff为有效驱动方向的压电系数,带进去计算。

例如,压电元件的机械约束力[2]。正常压力产生的应力分量T由墨水通道P产生。加上V电极上的电压,这个方程就变成

978-7-111-51584-5-Chapter10-12.jpg

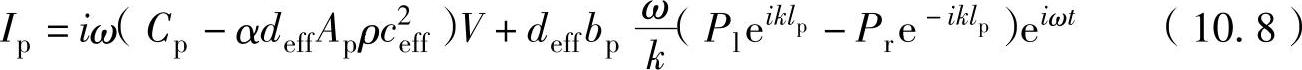
压电元件的电容是Cp=εAp/hp。整合后的压力可以显示局部变化,超过压电元件lp的长度,可以得到

978-7-111-51584-5-Chapter10-13.jpg

式中,bp是压电元件的宽度。

目前已知声学信号驱动电压和通道的压力。声学信号可以从驱动电压和通道压力得到,根据d’Alemberts在频域每个频率的解决方案:

Pzt)=Prei(ωt-kz)+Plei(ωt+kz)-αρc2effV (10.7)

表示声学信号是根据传向喷嘴的传播波,有下角r的,以及从喷嘴传来的传播波下角是l的,以及波数k和频率ω。在(10.6)式插入这个方程可以得到:

978-7-111-51584-5-Chapter10-14.jpg

应用这种测量,只能有限地进入打印头的内部。作为传感器驱动器是一种选择,这种选择不会对打印头的制造产生影响,除了电子应用,目前包括了测量电路。通过对打印头进行更多改进,另一种压电可能性可能可以被用于分离传感器,比如有区域通道压力作为参数的小的压电元件。这个选择可以给压力波传播提供更多的细节。然而,如果不能进行声学干扰和形成液滴,这是很难实现的。

另一个选择的位置是一个内置的弯液面的测量方法,这也能够测量喷射的情况,可以由一个电容传感喷嘴盘层内的喷嘴提供。电极之间的电容取决于喷嘴墨水的数量[10,11]。若不影响喷嘴润湿性质和液滴的形成过程,这也是难以实现的。

这里需要更多的信息来更好地理解压电式喷墨打印头的操作原理和对测量声波信号的正确解释。墨流内部更细微的通道和声压波只可以通过建模才能有效[12]。因此,对于可用的商业代码的物理模型,开发一种新的喷墨技术是专用特殊模型的一个重要组成部分。把它添加到测量过程导致液滴的形成,而建模揭示了过程链,这使得能够更快、更好地发明新喷嘴[13]

制作喷墨打印头的模型时,形成微机电系统(MEMS)的过程中,会遇到许多挑战[14]。在MEMS中,对小型器件流动的管理是一个共同的特征[15]。建模由多尺度模拟从纳米到米的多重物理量:固体力学、流体力学、电磁学、材料科学、电子电路设计、机电一体化等。大部分的模型来自连续介质力学,虽然在某些情况下,连续介质力学被应用到极限。连续介质理论要求变量,比如密度、压力和速度是由一些平均过程决定的并且解一些方程组。必须把这一点记在心上,当达到了最小长度尺寸时。结构动力学是有趣的领域,包括压电和声学的弹性交互以及流体动力学[2]