4.3  喷射运动控制

4.3 喷射运动控制

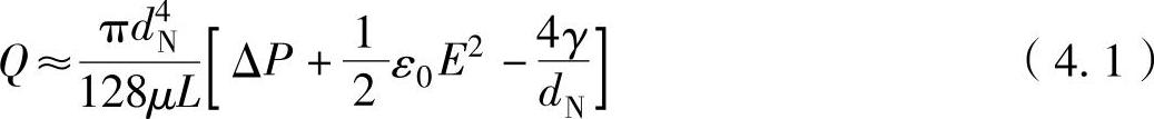
单喷头电流体动力喷墨打印系统的打印速率,由喷射的体积和喷射物数量决定,喷头处的墨水蒸发速率可忽略不计。在这个系统中,喷墨打印速率通过电场力、毛细管压力、外加空气压力的平衡来控制,见Poiseulle公式[15,16]:

978-7-111-51584-5-Chapter04-4.jpg

式中,Q为流速;ΔP为压强差;μ为墨水的黏滞系数;ε0为真空介电常数;γ为墨水和大气界面的界面张力;E为电场强度;dNL分别是喷嘴的直径和长度。

喷嘴尖端的电场强度E可以近似的用一条射线垂直于一个平面对电极来估计[17,18],根据E=4V0/[dNln8H/dN]。HV0为喷头和基板间的间距和工作电势。当液滴呈半球形时,喷嘴管内的毛细管压力近似于4γ/dN。由式(4.1)所示,电场强度(978-7-111-51584-5-Chapter04-5.jpg)和压力差(ΔP)的方向与喷墨方向相同,毛细管压力(4γ/dN)方向与喷墨方向相反,这导致半球形液滴会向喷嘴里回缩,为启动喷墨过程(Q>0),电场强度(978-7-111-51584-5-Chapter04-6.jpg)和压力差(ΔP)的总和应大于毛细管压力(4γ/dN),启动喷墨的最小电压值可通过式(4.1)计算。

当外加电压逐渐增加超过开始喷射所需的最小电压时,喷墨的脉冲频率(f)也随着上升,可达到上千赫。在充满电荷的液滴表面,表面张力和电场力的差不断变化,造成毛细管波动,脉冲频率(f)与这种波动有关。在一定的压差ΔP的条件下,fE的关系可由缩尺定律表示[15,19]

978-7-111-51584-5-Chapter04-7.jpg

式中,ρ为密度,其中ΔP可以影响fE为常数时,在千赫范围内f可以随着ΔP进一步增加,但是ΔP的增加又会加宽射流的直径和相应增加液滴尺寸[15]

本章节所涉及的基础物理知识和工艺原理也可用于打印系统性能的提升。使用高频率脉冲,可实现高打印速率和优良打印分辨率。使用低压喷射,在较高电场的前提下,控制一定的脉冲频率,可实现更高的分辨率。