7.3.3  扩散影响

7.3.3 扩散影响

最后研究扩散系数的影响。在上面所示的结果当中,扩散系数很低,所以扩散的影响可以忽略不计。这种情况会运用到实际情况当中,例如对于DNA分子在水里,它的扩散系数为Dl=10-12m2/s。小分子在水中的扩散系数大几个数量级。扩散将试图抵消对流的液体从液滴的中心到边缘引起的浓度梯度的改变。因此可以预期,对于较大的扩散系数的咖啡污迹的效果在减弱,如图7.5和图7.6所示。扩散会导致液滴的边缘附近溶质浓度较低,因此溶质浓度达到最大的时刻可能会延迟。

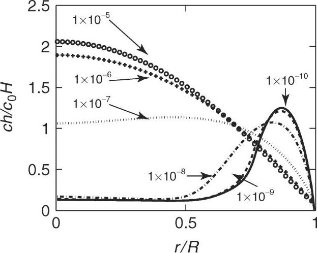
图7.9显示了的在有固定接触线和高初始溶质浓度情况下最终的蒸发后层厚度的大小。结果表明扩散系数的值在Dl=1×10-10~1×10-5m2/s。扩散系数最小时的层厚与上述结果不符,且与扩散系数变为10倍时的偏差很小。进一步放大10倍的Dl清楚地显示了扩散的影响,这减少了咖啡污渍效果。对于两个最高Dl值,如图7.9中所示,扩散的影响是如此强烈,溶质浓度在整个蒸发过程中几乎是不变的。因此,当液滴半径最大时的瞬间溶质浓度也达到最大值,这对最后一层厚度有着绝对的影响,并且最后呈现球冠的形状。但是,如此大的扩散系数在水中是不会出现的。

图7.10显示了浓度低的初始溶质所对应的结果。并且,对于较低的扩散系数所得到的结果和图7.6所示结果一样,另外,10倍的扩散系数会得到相似的结果。对于较大的扩散系数,扩散是一个很显著的影响,会导致一个更一致的溶质浓度。与前面最初的溶质浓度高的例子相比,溶质最大浓度不会出现直到接触线开始向中心移动,这是因为液滴毛细管数的有限。这个结果在图7.1中也可以看出。在稍后的时间,达到最大浓度的区域仍有液体存在。这就解释了7.10球冠形状最后层厚度的偏差。

978-7-111-51584-5-Chapter07-30.jpg

图7.9 不同扩散系数、初始浓度较高、无固定接触线的液滴在挥发之后层厚度与半径的关系

978-7-111-51584-5-Chapter07-31.jpg

图7.10 不同扩散系数、初始浓度较低、无固定接触线的液滴在挥发之后层厚度与半径的关系

总之,可以表示为对现实的扩散系数值,扩散的影响是有限的。不过,Dl值非常小的时候,可以适用于大分子,比如DNA溶在水里,可以不用再假设忽略垂直方向的浓度变化。结果是一个二维溶质浓度对流扩散方程得到解决。