11.2 固着液滴的液滴体积均衡
通过测量飞行中液滴的体积与速度来均衡喷墨打印喷头的喷嘴中飞溅出液滴的体积,人们提出了很多方法计划用来解决这个问题。液滴观测组件中最为严重的问题就是因为液滴并不是固定的而使图片变形。因此,计划用基板上静止的固定液滴尺寸测量作为替代。
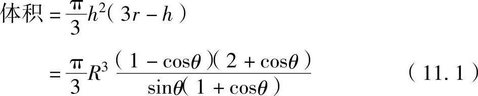
图11.9表明了基板上静止的固着液滴,假定基板上固着的液滴构成了一个球面的形状,这里,R代表固着液滴的半径,θ代表墨水与基板之间的接触角。液滴体积可以依照以下算式计算得出:


图11.9 基板上固着的液滴图示
假定液滴与基板的接触角在全部基板区域内都不会超过某个极限,式(11.1)表明液滴的体积可以通过控制基板上的固着液滴直径来实现均衡。