7.3.2  薄膜层厚

7.3.2 薄膜层厚

接下来,引进溶质与和液滴高度有关的式(7.17)求解。在最初的情况下,采取一个统一的溶质浓度。蒸发过程取决于初始浓度的值,因为形成紧密堆积的溶液溶质浓度不能大于某一极限值。为了给这一特点建模,溶质和液体的对流在达到最大值溶质的浓度时是停止的。如果最初的溶质浓度大,那么最大浓度值将会很早到达。比较初始浓度较高的结果,0.1可能是最高的浓度值,与刚开始的较低的初始浓度相比,小了9/10。

978-7-111-51584-5-Chapter07-24.jpg

图7.3 没有溶质且无线接触线液滴的形状演变,行对应等距

978-7-111-51584-5-Chapter07-25.jpg

图7.4 没有溶质且无线接触线液滴的体积作为时间的函数

首先,考虑液滴接触线固定的情况。图7.5和图7.6分别显示高浓度与低浓度在挥发过程后层厚度的大小,并且扩散系数的值非常小。稍后将讨论影响扩散系数变化的众多因素。结果显示在液滴的边缘厚层附近和中心薄层附近都有典型的咖啡污迹效应。在液滴边缘附近蒸发速度大于中心的挥发速度,并且界面的曲率中心保持一致,较大的蒸发速度必须由从液滴中心到边缘的对流速度来补偿。溶质的传递依靠从液滴中心岛边缘的对流。最初的溶质浓度越小,达到最大程度的浓度需要的时间更多,因此对于较小浓度的初始溶液咖啡效应越显著。在现在的例子当中,假设流体的黏度不取决于溶质的浓度。如果采用浓度影响黏度的理论,溶质的对流在浓度较高的地方会受到阻碍,并且咖啡效应会受到抑制[3]

978-7-111-51584-5-Chapter07-26.jpg

图7.5 具有固定接触线并且溶液初始浓度较高的情况下挥发后层厚度与半径的函数关系

978-7-111-51584-5-Chapter07-27.jpg

图7.6 具有固定接触线并且溶液初始浓度较低的情况下挥发后层厚度与半径的函数关系

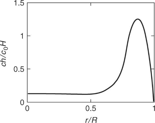
图7.7和图7.8分别反映出了没有接触线并且溶液初始浓度较低和较高的情况下挥发后层厚与半径的函数关系。在这种情况下,在液滴的边缘附近的楔裂压力,将试图维持一个恒定的接触角。因此,接触线将移向液滴的中心,如图7.3所示。因此,对流速度小于拥有固定接触线的情况。这将导致液滴边缘附近的浓度有所增加,使层厚度更均匀。结果所示数据有点违反直觉。期望是初始溶质浓度较低的液滴边缘附近层厚度较深,就像在一个固定的接触线的情况。然而,对于初始浓度越高溶液,最大浓度很可能在液滴的边缘附近很快达到。因此,液滴的形状演化看起来更像图7.1所示的固定接触线情况,而不是如图7.3所示的无固定接触线的情况。对于初始浓度较低的溶液,在接触线开始移动前最大浓度是不会出现的,并且形状的演化不会因溶质的存在而改变。相比固定接触线,可移动接触线的液滴容易形成平层的形状,尤其是最初的溶质浓度很低的情况下。

978-7-111-51584-5-Chapter07-28.jpg

图7.7 具有可移动接触线并且溶液初始浓度较高的情况下挥发后层厚度与半径的函数关系

978-7-111-51584-5-Chapter07-29.jpg

图7.8 具有可移动接触线并且溶液初始浓度较低的情况下挥发后层厚度与半径的函数关系