15.4  退火过程中液相到固相的转化

15.4 退火过程中液相到固相的转化

从溶液中沉积氧化物薄膜的基本挑战是可溶性前驱体到致密固体的转化[38]。喷墨打印工艺之后,薄膜经过热处理过程去除残留的有机物质,致密化(消除残余孔隙)有时也会发生结晶。去除有机物步骤的一般温度在200~600℃。随着溶剂从膜上去除,薄膜开始变得干燥,精细尺度孔隙开始形成。在与溶剂残留孔隙的界面处,接口的压力显著增大。这些压力增加了毛细管压力,从而引起了收缩,这些力是结构倒塌的一个实际的驱动力,进而导致了薄膜的致密化。随着膜塌陷,不同的前驱体上的反应性基团中的分子在膜中更紧密地接触,这导致额外缩合反应的发生。随着温度的升高,前躯体中有机物基团去除的速率也更快。一旦大块的有机材料从膜中去除,无机非晶态物质的结构自由体积也会降低。这种结构性松弛导致了膜的连续致密化。最后,经过形核与生长过程,形成晶体。

几个研究小组已经报道溶液处理氧化物半导体的TFT,主要基于溶胶凝胶衍生的ZnO的相关材料。虽然他们的设备性能与他们的真空沉积的相对应,他们在400℃以上的温度进行高温退火[6,7,39,40],从溶液中产生了纯相的金属氧化物。大多数金属前驱体在溶胶凝胶化过程中包含有机官能团,这些有机官能团对前驱体的溶解很有必要。在金属前躯体经热转换形成致密金属氧化物之前,有机成分必须经过完全的分解。任何剩余的有机残留物都会对该装置的性能产生不利的影响,即使是一个电荷陷阱位点。因此,该有机组分的热解温度是确定该溶液中衍生氧化物的TFT可以工作的最低温度的关键因素。

ZTO溶胶凝胶溶液的热分析表明,退火温度超过500℃时,可以清晰地分辨出该半导体的特性,如图15.6a所示。低于此温度时,溶剂和有机残留物会在电荷载体累积,会障碍导带中的传输。电性能测试表明,在300℃和400℃下退火的ZTO层状结构表现为绝缘体,而不是作为半导体,而在500℃下退火的ZTO晶体管呈典型n沟道晶体管的电特性,如图15.6b所示。由于高退火温度(400℃以上)会分解有机物添加剂,因此在一般情况下,溶胶凝胶衍生的材料的基板是低成本和不相容的柔性塑料材料。

978-7-111-51584-5-Chapter15-6.jpg

图15.6 a)ZTO溶胶凝胶前驱体的热重分析(TGA)和差示扫描量热(DSC)曲线。在ZTO前驱体中的锡浓度为30mol%;b)300~500℃退火温度下, 晶体管的ZTO层传输特性曲线(引用自参考文献[6])

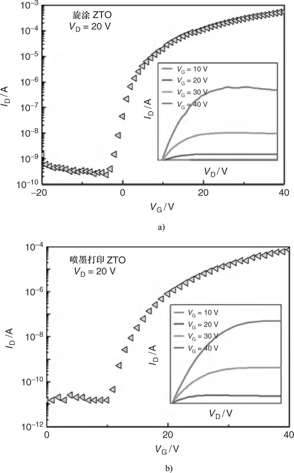
对于高品质的电子应用,氧化物薄膜必须在缩合过程中保持较好的密度、均质性以及均匀性。稳定的试剂或表面封端基团的存在,产生了高能量势垒,从而阻止在低温下转化为固体氧化物,促进大表面积、多孔和粗糙薄膜的生成。溶液沉积方法的不同(旋涂与喷墨打印),经溶液处理的半导体的微观结构也不相同。图15.7示出了通过旋涂和喷墨打印制造的典型器件的电特性。观察两个相似器件的电学特征。这些TFT用作n型沟道增强模式器件。在低电流的源极/漏极偏压指示显示,ITO/ZTO界面有良好的欧姆接触。这些器件的饱和迁移率在0.5~0.7(cm2/V)/s,开/关电流的比率为106~107,亚阈值斜率为1.5~1.7V/dec。喷墨打印的晶体管的开/关电流比略高,这是由于选择性沉积的直径为230μm的半导体层的寄生电流较小。

978-7-111-51584-5-Chapter15-7.jpg

图15.7 ZTO晶体管的典型的传输和输出特性曲线

a)旋涂制成 b)喷墨打印形成(引用自参考文献[11])

喷墨打印ZTO-TFT器件产生偏置应力的效果类似于在旋涂制备中观察到的,但Vth偏移的大小变化取决于溶液沉积的方法(见图15.8)。喷墨打印TFT处于其偏置应力诱发作用场中,其最大的偏移量约为19.0V。不管该设备的制备方法是怎样的,即使是在偏置应力场作用下,其亚阈值斜率都不发生变化,如图15.8b所示。两个器件利用相同的原材料和电介质,因此其稳定性的不同,很可能归因于溶液沉积法引起的薄膜微观结构的变化。各薄膜的堆积密度卢瑟福背散射分析(RBS)与从横截面SEM图像估计出各薄膜的堆积密度以及各膜的厚度。旋涂膜的面密度约为4.3×1017原子/cm2,喷墨打印膜的面密度约为3.7×1017原子/cm2,喷墨打印形成的膜的致密度较小,这很可能是由于在膜的形成过程中,剪切力较低导致的。

978-7-111-51584-5-Chapter15-8.jpg

图15.8 旋涂和喷墨打印ZTO-TFT的稳定性(引用自参考文献[11])

a)电压偏置的应力持续时间的函数,时间的阈值是20V的栅极偏压 b)亚阈值斜率的变化,作为偏置应力的持续时间函数

采用高分辨透射电子显微镜(HRTEM)观察薄膜的显微结构,明显看到获得的薄膜的致密度不同。图15.9同时给出了旋涂和喷墨打印ZTO薄膜的横截面图像。这种薄膜都是无定形的,这揭示了不均匀密度薄膜在纳米尺度的一个特殊性质。一般来说,透射电子显微镜(TEM)观察的结果显示,薄膜是一个非均匀的结构,在非晶结构的部分区域,密度的变化较大。这表明,在致密化过程中,密度较小纳米区域转换成3~5nm的孔隙。HRTEM的结果清楚地显示,旋涂和喷墨打印的薄膜,密度差异明显,这从图像对比中可以确定。这种膜密度的差异可以归因于偏置-应力作用的结果。喷墨打印薄膜在信道/信道,或信道/绝缘体界面形成的纳米孔隙,将成为用于价电子的捕获位点,从而造成设备的不稳定。

978-7-111-51584-5-Chapter15-9.jpg

图15.9 HRTEM图像显示的溶胶凝胶衍生ZTO薄膜微结构

a)旋涂制备 b)喷墨打印(引用自参考文献[11])