19.2.1  HF标签天线要素

19.2.1 HF标签天线要素

正如之前所讨论的,HF标签通过邻近区域电感器互感工作。因此天线由电感器构成(通常也可以是个电容器)。电感器和电容器一起形成振荡电路,如图19.5所示。

978-7-111-51584-5-Chapter19-5.jpg

图19.5 HF RFID天线平台的等效电路

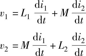
概念上而言,读取器天线线圈在变压器中是很重要的绕组,标签中的线圈是第二位的。为了增加互感电压,标签中的天线平台通常有一个振荡电路,天线电感器与调谐电容平行。结果使得调谐电路的电压是“Q增加”,Q是天线平台的有载品质效应。为了得到高的Q值,需要设计低串联电阻的电感器。图中L1是读取器的电感器,L2是标签的电感器,C2是标签的调谐电容,RSeries是电感器的串联电阻,RLoad是RFID电路的等效负载电阻。两个电感器有如下关系:

978-7-111-51584-5-Chapter19-6.jpg

其中,相对电感M与互感系数的关系是

978-7-111-51584-5-Chapter19-7.jpg

两个电感器L1L2之间的互感系数实际上非常低(<10%,这取决于读取器和标签的距离),从而导致互感也很弱。

标签可用的能量的计算公式如下:

978-7-111-51584-5-Chapter19-8.jpg

式中,v1=jωMipip是电流通过读取器的一次绕组;RLoad是RFID线路的等效电阻;RSeries是电感器的串联电阻,RSeries影响电源效率。

典型的衡量振荡线圈效率的是质量因子Q的效率,Q衡量线路和电阻之间的相互作用(电感器的电阻与电感和频率成正比)。为了最大限度提高互感的效率,要获得最大化的Q;这要通过最小化串联电阻来实现。典型的HF标签中Q的范围在1~10,这取决于电线装置、负载电阻和使用范围。要注意使用高Q值要有个权衡。高Q值的系统对于振荡电路核心频率的调谐的承受力较差,由于电路板宽度与Q成反比。因此,Q大于10通常很难生产,因为这样精确的核心频率的标签不太现实。