7.2.3  溶质浓度

7.2.3 溶质浓度

液滴的溶质浓度变化与流体速度和对流扩散有关。由溶质的质量守恒定律可以得到一个演化方程:

978-7-111-51584-5-Chapter07-17.jpg

式中,c代表溶液的浓度;Dl代表液体中溶质的扩散系数,在这个对流扩散方程,浓度的垂直方向的分量已经被忽视。

这种假设是当扩散运输主要在垂直方向而不是水平方向的对流运输,通常在VH2/RDl<<1的情况下是成立的。对于上面提到的典型参数值,当Dl>>1×10-12m2/s时方程也能够满足。如果使用了相同的伸缩量的长度和时间尺度的液滴的形状,无量纲的扩散系数为

978-7-111-51584-5-Chapter07-18.jpg

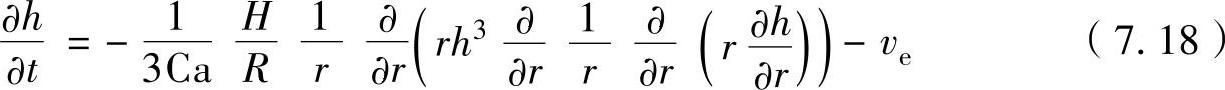
在接下来的部分所示的示例中,为了简单起见,考虑一个轴向对称液滴。如果r表示轴向坐标,那么液滴的界面可以写为Z=h(r)。液滴高度的演化方程为

978-7-111-51584-5-Chapter07-19.jpg

注意,常数参数在右边的第一项H/(CaR)值大而物理参数的典型值为1。括号之间的数值等于零,加入液滴的曲率沿界面是恒定的。因此,一个小偏离球冠的形状会导致大的恢复力。这是为什么Deegan[8]假定液滴干燥过程中仍然是一个球冠。假如轴向对称和需要解决的只有浓度方程数值,在这种情况下,液滴的形状和对流速度可以通过分析来解决。然而,靠近液滴的边缘并且接触线未被固定的情况下,偏离球形会变得很大,因此这里的一般形状接口必须考虑。