7.2.1  流体模型

7.2.1 流体模型

在本节的其余部分,首先得到合适的液滴及干燥过程中溶质的浓度的控制方程,这对于微米大小水滴是适用的。派生的起点是液滴的Navier-Stokes方程。如果假设一个不可压缩液体的液滴,流体动力学方程可以写成

978-7-111-51584-5-Chapter07-1.jpg

连续性方程:

978-7-111-51584-5-Chapter07-2.jpg·u=0 (7.2)

式中,u代表流体速度;ρη代表质量密度和流体动力学黏度;p代表压力;g表示重力加速度,方向为Z负方向。

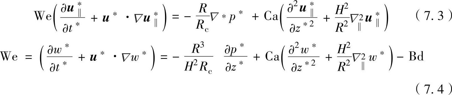
不同数量级的式(7.1)和式(7.2)可以通过引入特征值来评估液滴水平方向的大小R和垂直方向液滴的大小H。合适的液滴半径和高度在最初的传播阶段之后确定。如果液体在垂直方向的标准速度等于在液滴表面的平均蒸发速度veav,那么典型的水平速度的值等于:

978-7-111-51584-5-Chapter07-3.jpg

如果液滴的半径大于它的高度,所求的速度大于标准的垂直速度。因此用V标定水平速度分量,用ve,av来标定垂直速度分量。最合适的时间表是R/V

接下来分解速度在水平方向的分量为u,垂直分量为wu=u+weZ。通过这种方式,Navier-Stokes方程的水平速度与垂直速度的分量可写为如下形式:

978-7-111-51584-5-Chapter07-4.jpg

这里引用星号为缩放变量,符号978-7-111-51584-5-Chapter07-5.jpg为梯度算子的水平分量。另外,规定Ca是毛细管数,定义为

978-7-111-51584-5-Chapter07-6.jpg

We为韦伯数,计算公式为

978-7-111-51584-5-Chapter07-7.jpg

Bd为Bond数,计算为

978-7-111-51584-5-Chapter07-8.jpg

最后,Rc典型是曲率半径,σ/Rc作为压力的典型值,其中σ是表面张力。