企业财务管理的目标

二 企业财务管理的目标

随着市场经济体制的逐步完善,财务管理理论在不断地丰富和发展。其中财务管理的目标也在不断变化,企业财务管理目标有以下几种具有代表性的观点:

(一)以利润最大化为目标

企业的目标首先是生存,在生存下来的前提下寻求发展,最终获利。财务管理目标是为企业目标服务的,利润代表了企业新创造的财富,利润越多则说明企业获利越多,因此,以追逐利润最大化作为财务管理的目标是有一定的道理的。以利润最大化为财务管理的目标有其优点,同时也存在局限性:

优点:(1)利润作为企业经营成果的体现,很容易从利润表上得到反应;(2)利润可以直接反映企业创造的剩余产品价值的大小,剩余产品越多,也就意味着社会财富越多,所以利润最大化也就意味着社会财富最大化;(3)在自由竞争的资本市场中,资本的使用权最终属于获利最多的企业,利润越大化意味着企业在市场中的竞争能力越强。

缺点:(1)没有考虑利润实现时间和货币时间价值;(2)没有考虑获取利润与所承担的风险的大小,风险与收益成正比,利润越高往往所要承担的风险也越大;(3)利润是一个绝对数,难以反映投入与产出之间的关系;(4)片面追求利润最大化,可能导致企业短期行为,影响企业长远发展。

(二)以股东财富最大化为目标

股份公司是现代企业的主要形式,股东作为企业的所有者,其财富是由他所持有的股票数量和股票市场价格两方面来决定的。在股票数量一定时,股票价格达到最高,股东财富也就达到最大。所以,股东财富最大化,又演变为股票价格最大化。以股东财富最大化为目标,具有如下优点和缺点:

优点:(1)股东财富最大化目标科学地考虑了风险因素,因为风险的高低会对股票价格产生重要影响;(2)在一定程度上能够克服企业在追求利润上的短期行为,因为不仅目前的利润会影响股价,而且预期未来的利润对企业股价也会产生重要影响;(3)股东财富最大化目标比较容易量化,便于考核和奖惩。

缺点:(1)只适合上市公司,对非上市公司很难适用;(2)股价受众多因素的影响,有些因素非上市公司所能控制;(3)它强调的更多的是股东利益,而对其他利益者相关者的利益重视不够;(4)受雇的经营者可能因自身的利益而背离股东财富最大化的目标,而出现道德风险和逆向选择。

(三)以企业价值最大化为目标

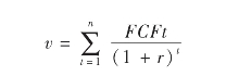
从财务管理的角度看,企业价值不是账面资产的总价值,而是企业所有者权益的市场价值,是企业所能创造的未来现金流量的现值,一般用股票价格来反映市场对企业价值的客观评价。

其中,v为企业价值,t为取得报酬的具体时间,FCFt为第t期的报酬,可用该年预期的现金流量来表示,r为代表与企业风险相适应的贴现率,n为代表取得报酬的持续时间。

以企业价值最大化为目标具有如下优点和缺点:

优点:(1)考虑了货币的时间价值;(2)考虑了风险与报酬的关系,强调了风险与报酬的均衡;(3)注重在企业发展中考虑各利益相关者的利益;(4)克服企业在追求利润上的短期行为,有利于社会资源的合理配置。

缺点:(1)对股票上市企业,可通过股价反映企业价值,但是股票价格受多种因素影响,特别在即期市场上的股价不一定能够直接反映企业的获利能力,只有长期趋势才能做到;(2)现代企业为了控股或稳定购销关系,往往采用交叉持股的方式,相互持股,法人股东对股价的敏感程度远不及个人股东,对股价最大化目标没有兴趣;(3)对非上市企业,只有评估才能真正确定企业的价值,而在评估企业的资产时,由于受评估标准和评估方式的影响,这种估价不易做到客观和准确,这也导致企业价值确定的困难。