债券投资收益评估

二 债券投资收益评估

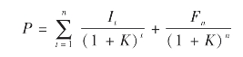
按照资产收入资本化的原理,债券的价值是投资人未来持有债券期间所获得的一切现金收入的现值之和。

(一)债券价值的计算

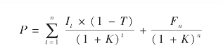
按照债券价值确定的基本原理,债券价值的一般计算公式为:

如果考虑所得税的影响,则:

式中:P——债券价格;

It——各年的利息;

K——市场利率或投资人要求的必要报酬率;

Fn——债券面值或债券出售价格;

n——付息总期数;

T——所得税率。

〔例9-1〕某债券面值为1 000元,票面利率为10%,期限为5年,某企业要对这种债券进行投资,要求必须获得12%的报酬率,问债券价格为多少时才能进行投资(不考虑所得税)?

根据上述公式得:

P=1 000×10%×(P/A,12%,5)+1 000×(P/F,12%,5)

=100×3.605+1 000×0.567 =927.5(元)

因此,这种债券的价格低于927.5元时,投资者才能购买,否则得不到12%的报酬率。

〔例9-2〕甲种债券面值2 000元,票面利率为8%,到期一次还本付息,期限为5年,某企业拟购买这种债券,当前的市场利率为10%,不计复利,债券目前的市价是1 800元,企业是否可以购买该债券?

P=(2 000+2 000×8%×5)×(P/F,10%,5)

=2 800×0.621=1 738.8(元)

由于债券的价值小于市价,购买此债券不合算,不应购买。

〔例9-3〕某债券面值为1 000元,期限为5年,以贴现方式发行,期内不计利息,到期按面值偿还,当时市场利率为8%,其价格为多少时,企业才能购买?

依公式:P=1 000/(1+8%)5=1 470(元)

因此,该债券的价格只有低于1 470元时,企业才能购买。

又如:乙债券为纯贴现债券,面值10 000元,10年期。假设必要报酬率为9%,则其价值为:

P=10 000×(P/F,9%,10)=10 000×0.422 4=4 224(元)

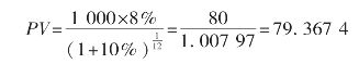
〔例9-4〕有一面值为1 000元的债券,票面利率为8%,每年支付一次利息,2015年9月1日发行,2020年9月1日到期。现在是2018年8月1日,假设投资的必要报酬率为10%,问该债券的价值是多少?

第一种估价办法:流通债券估价时必须注意付息日,分别对每期利息和最后的本金折现。本例在2018年8月1日后的2年零1个月的剩余期限中,有三个付息日,发生三次利息收入,因此要计算三次利息。

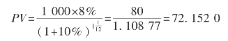
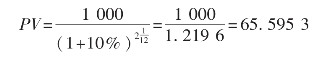
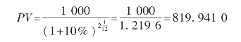
现分别计算2018年8月1日以后现金流入的现值,然后求和。计息期数不是整数,分别为1/12(2018年9月1日),13/12(2019年9月1日),25/12(2020年9月1日)。

2018年9月1日利息的现值为:

2019年9月1日利息的现值为:

2020年9月1日利息的现值为:

2020年9月1日本金的现值为:

该债券2018年8月1日的现值为:

P=79.367 4+72.152 0+65.595 3+819.941 0=1 037.06(元)

第二种估价办法:先计算2018年9月1日的债券价值,然后将其折现到2018年8月1日。

2018年9月1日债券的价值为:

P=1 000×8%×(P/A,10%,2)+1 000×8%+1 000×(P/F,10%,2)

=80×1.735 5+80+1 000×0.826 4

=1 045.24(元)

2018年8月1日债券的价值为:

(二)债券收益率的计算

衡量债券投资收益水平的指标为债券收益率。债券收益率是指一定时期内所得收益与投入本金的比率。为便于比较分析,债券收益一般以年率为单位计算。由于投资者的投资方式、债券类型等的差异,债券收益率有多种形式。

债券的收益水平通常用到期收益率来衡量。到期收益率是指以特定价格购买债券并持有至到期日所能获得的收益率。它是使未来现金流量等于债券购入价格的折现率。计算到期收益率的方法是求解含有贴现率的方程。

式中:V——债券的投资价格;

I——每年的利息;

M——到期的本金;

n——债券持有期限;

K——债券投资收益率。

〔例9-5〕假定投资者目前以1 075.92元的价格,购买一份面值为1 000元、票面利率为12%的5年期债券,投资者将该债券持有至到期日,则有:

1 075.92=120×(P/A,K,5)+1 000×(P/F,K,5)

得:投资收益率K=10%

同样原理,如果债券目前购买价格为1 000元或899.24元,分别有:

投资收益率K=12%

投资收益率K=15%

如果持有人在持有期间出售了债券,则持有期间收益率可由持有债券期间的利息收入和资本损益之和相对于投资金额的百分比来表示。

(1)分期付息债券持有期收益率常用的简化计算公式:

(2)一次还本付息债券持有期收益率的简化计算公式:

贴现债券持有期收益率的计算公式与一次还本付息债券持有期收益率的计算公式基本相同。