三 短期借款

三 短期借款

(一)短期借款的概念与种类

短期借款是指企业向银行或非银行金融机构借入的期限在一年以内的借款,其目的是用于补充临时性流动资金,发展生产,提高企业的经济效益。

短期借款的种类:按照偿还方式的不同,可分为一次性偿还借款和分期偿还借款;依照利息支付方式和方法的不同,可以分为收款法借款和加息法借款;按是否有担保,可分为无担保借款和担保借款;等等。按贷款用途可分为生产周转借款、临时借款、结算借款等。

(二)短期借款的信用条件

按照国际惯例,银行发放短期贷款时,往往涉及以下信用条件:

1.信贷额度。信贷额度亦即贷款限额,是贷款人与银行在协议中规定的允许借款人借款的最高限额。

2.周转信贷协定。周转信贷协定是指银行从法律上承诺向企业提供不超过某一最高限额的贷款协定。在协定的有效期内,只要企业借款总额未超过最高限额,银行必须满足企业任何时候提出的借款要求。企业享有周转协定,通常要对贷款限额的未使用部分付给银行承诺费。

〔例5-7〕某企业与银行商定周转信贷额度为1 000万元,承诺费率为0.5%,借款企业年度内使用了600万元,余额为400万元。则借款企业应向银行支付承诺费的金额为多少?

承诺费=400×0.5%=2(万元)

3.补偿性余额。它是指银行要求借款企业在银行中保持按贷款限额或实际借用额一定百分比计算的最低存款余额。补偿性余额的要求提高了借款的实际利率。

补偿性余额有助于银行降低贷款风险,补偿其可能遭受的损失;但对借款企业来说,补偿性余额则提高了借款的实际利率,加重了企业的利息负担。

4.借款抵押。银行向财务风险较大的企业或对其信誉不甚把握的企业发放贷款,往往需要有抵押品担保,以减少自己蒙受损失的风险。短期借款的抵押品经常是借款企业的办公楼、厂房等。

5.偿还条件。无论何种借款,银行一般都会规定还款的期限。根据我国金融制度的规定,贷款到期后仍无能力偿还的,视为逾期贷款,银行要照章加收逾期罚息。

6.以实际交易为贷款条件。除上述所说的信用条件外,银行有时还要求企业为取得借款而做出其他承诺,如及时提供财务报表,保持适当的资产流动性等等。

(三)银行短期借款的成本的计算

1.名义利率与实际利率的计算。如果借款人在借款合同开始时得到了全部借款,并在到期时一次性还本付息,则这时的借款利率为简单利率。如果借款期限小于一年,考虑到复利问题,企业承担的实际利率将高于名义利率。

虽然数额与期限为一年的借款相同,但考虑到资金的时间价值,其实际年利率为:

式中:i——实际年利率;

r——名义年利率;

2.贴现利率。当企业在向银行借款需要预先付利息时,这类借款称为贴现借款,其实际利率为贴现利率。

〔例5-8〕某企业从银行提取借款100 000元,期限为1年,年利率(即名义利率)为10%,利息额为10 000(=100 000×10%)元;按照贴现借款计算,企业实际借款为90 000(=100 000-10 000)元,该项银行借款的实际利率为多少?

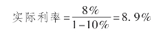
3.补偿性余额与借款利率。有时,银行在向企业提供短期借款时,要求企业在它的银行存款账户中保持一定百分比(一般为10%~20%)的存款余额,称为补偿性余额。这种补偿性余额将提高企业短期借款的实际利率,降低银行的贷款风险,补偿贷款损失。

〔例5-9〕某企业按照年利率8%向银行借款10万元,银行要求维持贷款限额10%的补偿性余额,那么企业实际可用的借款只有9万元,该项借款的实际利率为多少?

(四)短期银行借款的优缺点

1.银行短期借款筹资的优点

(1)银行短期借款是一个最简洁、最方便、最安全的途径。在多数企业短期融资计划中,银行短期借款是最常见的一种方式。任何企业在银行都有基本账户,而实力雄厚、信誉突出的企业更可以得到银行的“青睐”,不仅可以同银行建立起较密切和长远的借贷关系,而且可以在利率上得到优惠,减低资金成本。

(2)银行短期借款具有较好的弹性。当前银行数量众多,可选的范围较大,贷款期限、贷款利率都可以为企业“量身定做”。

2.银行短期借款筹资的缺点

(1)短期筹资众多方式中,银行短期借款的成本相对较高。

(2)风险高,时间短,附带条款多。