风险调整贴现率法

一 风险调整贴现率法

风险调整贴现率法是指将与特定项目有关的风险报酬,加入资金成本或企业要求达到的报酬率中,构成按风险调整的贴现率,并据以进行投资决策分析的方法。

这种方法在投资项目评价多种方法中,通常应用于净现值法及年金净流量法,因为在这两种方法中才能通过调整贴现率的方式考虑风险。其基本思想是对于高风险的项目,采用较高的贴现率计算净现值,然后根据净现值的评判规则来选择方案。按风险调整的贴现率包括了风险因素和时间价值因素的贴现率。按风险调整贴现率有如下几种方法:

(一)用资本资产定价模型来调整贴现率

Ki=Rfi×(Rm-Rf)

式中:Ki——项目按风险调整的贴现率或项目的必要报酬率;

Rf——无风险利息率;

βi——项目i的不可分散风险的β系数;

Rm——所有项目平均的贴现率或必要报酬率。

(二)按投资项目的风险等级来调整贴现率

这种方法是对影响投资项目风险的各因素进行评分,根据评分来确定风险等级,并根据风险等级来调整贴现率的一种方法。

〔例8-17〕假定有A、B、C、D、E五个投资项目,它们的风险状况及评价得分如表8-20所示。

表8-20 按风险等级调整的贴现率表

根据经验,可确定其风险等级调整后的贴现率如表8-21所示。

表8-21 风险等级调整后的贴现率

那么:KA=9%,KB=7%,KC=12%,KD=17%,KE≥25%

(三)用风险报酬率模型来调整贴现率

在第二章讨论风险报酬率时曾指出,一项投资的总报酬可分为两部分:无风险报酬和风险报酬。其计算公式为:

K=Rf+b×V

式中:K——项目按风险调整的贴现率;

Rf——无风险贴现率;

b——项目的风险报酬系数;

V——项目的预期标准离差率。

下面通过一个例子来说明怎样计算风险报酬系数、预期标准离差率,以及根据风险调整贴现率来选择方案。

〔例8-18〕某机械厂需购置一台机床,有A、B、C三个互斥方案。银行利率为10%,该行业最低报酬率要求为18%。A和B方案期限3年,C方案期限2年,有关原始投资额和各年现金流量如表8-22所示。

表8-22 投资方案现金流量表 单位:元

续表8-22

1.风险程度的衡量。风险程度用标准离差率V来衡量,标准离差率又取决于标准离差δ和期望值E。因此,对于A方案来说:

(1)计算现金流量期望值E。

第1年E1=2 000×0.3+1 000×0.5+500×0.2=1 200(元)

第2年E2=2 000×0.3+1 000×0.4+500×0.3=1 150(元)

第3年E3=2 000×0.2+1 000×0.4+500×0.4=1 000(元)

(2)计算标准离差。

(3)计算变化系数。

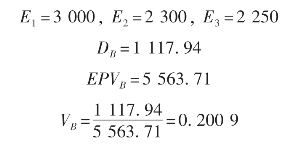
(4)按同样原理,可知B方案中:

(5)按同样原理,可知C方案中:

E1=2 080,E2=2 190

DC=376.20

2.确定风险报酬斜率。假设中等风险的变化系数为0.5,通常要求的最低报酬率为22%,无风险报酬率为10%,则:

(1)则各方案的风险调整贴现率。

KA=10%+0.24×0.292 9=17%

KB=10%+0.24×0.2009=14.82%

KC=10%+0.24×0.112 78=12.71%

(2)各方案净现值。