经营风险与经营杠杆

二 经营风险与经营杠杆

经营风险是指因生产经营方面的原因给企业盈利带来的不确定性。影响企业经营风险的因素很多,假设在其他条件不变的情况下,产销量在一定范围内变化不会引起固定成本总额的变化,但是会引起单位固定成本的变化。产销量增加时,单位固定成本就会降低,从而单位产品利润提高;产销量减少,会提高单位固定成本,从而降低单位利润。如果用息税前利润表示产品利润,那么产销量的变化就必定会引起息税前利润的变化。在某一固定成本比重下,产销量的变动对息税前利润产生的作用,称为经营杠杆。

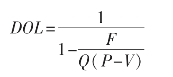
反映经营杠杆的作用程度,评价经营风险的高低,一般通过经营杠杆系数进行分析。它是企业息税前利润变动率与产销量变动率之比,主要用于反映公司息税前利润对销售量的敏感程度。即:

式中:DOL——经营杠杆系数;

EBIT——息税前利润;

ΔEBIT——息税前利润变动额;

Q——产销量;

ΔQ——产销量变动额。

假设企业的成本—销量—利润保持线性关系,变动成本在销售收入中所占的比例不变,固定成本也保持稳定,即:

EBIT=Q(P-V)-F

经营杠杆可通过销售额和成本来表示。

式中:DOLQ——销量为Q时的经营杠杆系数;

P——单位产品销售价格;

V——单位产品变动成本;

F——总固定成本。

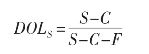
或者:

式中:DOLS——销售额为S 时的经营杠杆系数;

S——销售额;

C——变动成本总额。

销量为Q时的经营杠杆系数计算公式可用于计算单一产品的经营杠杆系数。销售额为S 时的经营杠杆系数计算公式除用于计算单一产品外,还可用于计算多种产品的经营杠杆系数。

〔例6-5〕某企业生产A产品,现行销售量20 000件,销售单价(已扣除税金)5元,单位变动成本3元,固定成本总额20 000元,息税前利润20 000元,经营杠杆系数计算如下:

上述计算结果表明,销售量增加1倍时,息税前利润就增加2倍,反之,销售量减少1倍时,息税前利润将减少2倍。例如,销售量增加10%,息税前利润将增长20%,即当销售量增加到22 000[=20 000×(1+10%)]件,息税前利润增加到24 000[=20 000×(1+10%×2)]元。

上述计算公式还直接体现了计算经营杠杆系数的销售量水平。需要注意的是,不同销售量水平上的DOL 系数是不同的。

将公式进一步推导,可得:

上式说明,只要存在固定成本F,则经营杠杆系数DOL 大于1,且F与DOL 之间是正方向变动关系。固定成本越大,则DOL 系数越大,经营风险越高,息税前利润变动对销售量变动的敏感程度就越高,企业的经营风险越大。即产销量增加时,息税前利润的增长率就大于产销量的增长率;产销量减少时,息税前利润下降率也大于产销量下降率。若固定成本为零,即F=0时,则DOL=1,说明息税前利润的变化与产销量的变化同步。

从上式中也可以看出其他经营因素对经营杠杆系数DOL 的影响。在其他因素不变的情况下,DOL 与销售量Q呈反方向变动;在其他因素不变的情况下,DOL 与单位产品价格P反方向变动;在其他因素不变的情况下,DOL 与单位变动成本V正方向变动。

在不同销售水平下的EBIT和DOL 如表6-5所示。假设单价为100元,单位变动成本为50元,固定成本总额为50 000元。

表6-5 不同销售水平下的经营杠杆系数

从表6-5中可以看出,销售量相对于盈亏点销售量(1 000件)越远,公司的息税前利润或亏损的绝对值越大,用DOL 衡量的息税前利润对销售量的敏感程度就越低。当销售量越过盈亏平衡点时,DOL 趋于1,这意味着随着销售量的增大,固定成本的存在对息税前利润带来的放大效应逐渐减小。

需要指出的是,经营杠杆本身并不是经营风险的来源。如果公司保持固定的销售水平和成本水平,再高的DOL 也是没有意义的。事实上,是销售和成本水平的变动,引起了息税前利润的变化,而经营杠杆系数只不过是放大了息税前利润的变动性,即经营杠杆扩大了销售和成本等不确定因素对利润变动的程度,放大了公司的经营风险。产销量增加时,息税前利润将以DOL 倍数的幅度增加;而产销量减少时,息税前利润又将以DOL 倍数的幅度减少。而且,经营杠杆系数越大,利润变动越激烈,企业的经营风险就越大。因此,经营杠杆系数应当仅被看作是对“潜在风险”的衡量,这种潜在风险只有在销售和成本水平发生变动的条件下才会被“激活”。