资金习性预测法

三 资金习性预测法

资金习性预测法,是指根据资金习性预测未来资金需要量的一种方法。所谓资金习性,是指资金的变动同产销量变动之间的依存关系。按照资金同产销量之间的依存关系,可以把资金区分为不变资金、变动资金和半变动资金。

1.不变资金,是指在一定的产销量范围内,不受产销量变动的影响而保持固定不变的那部分资金。也就是说,产销量在一定范围内变动,这部分资金保持不变。这部分资金包括:为维持营业而占用的最低数额的现金,原材料的保险储备,必要的成品储备,厂房、机器设备等固定资产占用的资金。

2.变动资金,是指随产销量的变动而同比例变动的那部分资金。它一般包括直接构成产品实体的原材料、外购件等占用的资金。另外,在最低储备以外的现金、存货、应收账款等也具有变动资金的性质。

3.半变动资金,是指虽然受产销量变化的影响,但不成同比例变动的资金,如一些辅助材料上占用的资金。半变动资金可采用一定的方法划分为不变资金和变动资金两部分。

(一)根据资金占用总额与产销量的关系预测

这种方式是根据历史上企业资金占用总额与产销量之间的关系,把资金分为不变和变动两部分,然后结合预计的销售量来预测资金需要量。

设产销量为自变量X,资金占用为因变量Y,它们之间的关系可用下式表示:

Y=a+bX

式中:a——不变资金;

b——单位产销量所需变动资金。

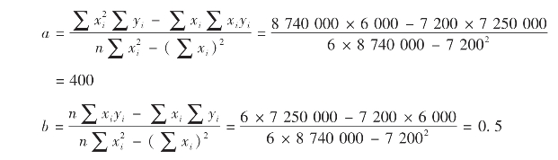
可见,只要求出a 和b,并知道预测期的产销量,就可以用上述公式测算资金需求情况。a和b可用回归直线方程求出。

〔例5-3〕某企业历年产销量和资金变化情况如表5-2所示,根据表5-2整理出表5-3。2019年预计销售量为1 500万件,预计2019年的资金需要量。

表5-2 产销量与资金变化情况表

表5-3 资金需要量预测表(按总额预测)

解得:Y=400 +0.5X

把2019年预计销售量1 500万件代入上式,得出2019年资金需要量为:

400+0.5×1 500 =1 150(万元)

(二)采用逐项分析法预测

这种方式是根据各资金占用项目(如现金、存货、应收账款、固定资产)同产销量之间的关系,把各项目的资金都分成变动和不变两部分,然后汇总在一起,求出企业变动资金总额和不变资金总额,进而来预测资金需求量。

〔例5-4〕某企业历年现金占用与销售额之间的关系如表5-4所示。

表5-4 现金与销售额变化情况表 单位:元

根据以上资料,采用适当的方法来计算不变资金和变动资金的数额。此处假定采用高低点法求a 和b的值。

将b=0.05代入2011年Y=a+bX,得:

a =160 000-0.05×3 000 000 =10 000(万元)

存货、应收账款、流动负债、固定资产等也可根据历史资料作这样的划分,然后汇总列于表5-5中。

根据表5-5的资料得出预测模型为:Y=600 000+0.30X

如果2018年的预计销售额为3 500 000元,则:

2018年的资金需要量=600 000+0.30×3 500 000 =1 650 000(元)

表5-5 资金需要量预测表(分享预测) 单位:元

进行资金习性分析,把资金划分为变动资金和不变资金两部分,从数量上掌握了资金同销售量之间的规律性,对准确地预测资金需要量有很大帮助。实际上,销售百分比法是资金习性分析法的具体运用。

应用线性回归法必须注意以下几个问题:(1)资金需要量与营业业务量之间线性关系的假定应符合实际情况;(2)确定a、b数值,应利用连续若干年的历史资料,一般要有3年以上的资料;(3)应考虑价格等因素的变动情况。