效益相同或效益基本相同且难以具体计量的方案的对比及选优

四 效益相同或效益基本相同且难以具体计量的方案的对比及选优

实际工作中还会存在效益相同或效益基本相同且难以具体计量的方案。因为效益难以具体计量,无论哪个方案都无法计算其净现值和内含报酬率,可以采用费用现值法,即计算各个方案的费用现值并进行对比,现值最低的方案为可取的方案。而对于寿命期不同的方案则以年平均成本法进行分析对比。很典型的例子就是固定资产更新改造的决策。

固定资产更新改造是对技术上或经济上不宜继续使用的旧资产,用新的资产更换或用先进的技术对原有设备进行局部改造。包括两个方面的决策:一是继续使用旧设备(包括通过修理以后)还是购置新设备,即固定资产更新决策;二是如何确定一个最优更新期,即固定资产最优更新期决策。

(一)固定资产更新决策

固定资产更新决策是指在假设维持现有生产能力水平不变的情况下,选择继续使用旧设备(包括对其进行大修),还是将其淘汰,而重新选择性能更优异、运行费用更低廉的新设备决策。

1.寿命期相同的设备重置决策。一般来说,用新设备来重置旧设备,如果不改变企业的生产能力,就不会增加企业营业收入,即使有少量的残值变价收入,也不是实质性营业收入的增加。因此,大部分以旧换新进行的设备重置都属于替换重置。在替换重置方案中,所发生的现金流量主要是现金流出量。如果购入的新设备性能提高,提高了企业的生产能力,这种设备重置属于扩建重置类型。

〔例8-13〕假定泰华公司现有一台旧机床是3年前购进的,目前准备用一新机床替换。该公司所得税率为40%,资本成本率为10%,其余资料如表8-14所示。

表8-14 新旧设备决策资料 单位:元

本例中,两机床的使用年限均为6年,可采用净现值决策。将两个方案的有关现金流量资料整理后,决策过程如表8-15和表8-16所示。

表8-15 保留旧机床 单位:元

表8-16 购买新机床 单位:元

表8-15和表8-16的结果表明:两方案营业收入一致,新设备现金流出总现值为69 309元,旧设备现金流出总现值为64 907元,继续使用旧设备比较经济。本例中有几个特殊问题应注意:

(1)两机床使用年限相等,均为6年。年限不等时,不能用净现值法决策。另外,新机床购入后,并未增加企业营业收入。

(2)垫支营运资金时,尽管是现金流出,但不是本期成本费用,不存在纳税调整问题。营运资金收回时,按存货等资产的账面价值出售,无出售净收益,也不存在纳税调整问题。如果营运资金收回时,存货等资产的变价收入与账面价值不一致,需要进行纳税调整。

(3)新设备购入后需要垫支营运资金11 000元,但同时收回旧设备原来垫支的营运资金10 000元,因此净投入营运资金1 000元。

(4)购入新设备的同时处理旧设备,旧设备目前账面净值为54 000元,变价收入为40 000元,清理净损失为14 000元,可以抵税5 600(=14 000×40%)元。所以,旧设备出售时得到的现金流入为45 600(=40 000+5 600)元。如果按“税后利润+非付现成本”模式计算,税后利润为-8 400(=-14 000×60%)元,因此现金流入为45 600(=-8 400+54 000)元。新旧设备报废时,账面残值与残值变价收入的处理,也按此原理测算现金流量。

2.寿命期不同的设备重置决策。寿命期不同的设备重置方案,用净现值指标无法得出正确决策结果,应采用年金净流量指标进行决策。寿命期不同的设备重置方案,在决策时具有如下特点:扩建重置的设备更新后,会引起营业现金流入与流出的变动,应考虑年金净流量最大的方案。替换重置的设备更新,一般不改变生产能力,营业现金流入不会增加,所以不考虑各方案的营业现金流入量变动,只比较各方案的现金流出量,我们把按年金净流量原理计算的等额年金流出量称为年金成本,也称为年平均成本。替换重置方案的决策标准是要求年金成本最低。扩建重置方案所增加或减少的营业现金流入也可以作为现金流出量的抵减,并据此比较各方案的年金成本。

设备重置方案在运用年金成本方式决策时,应考虑的现金流量主要有:(1)新旧设备目前市场价值。对于新设备而言,目前市场价值就是新设备的购价,即原始投资额;对于旧设备而言,目前市场价值就是旧设备的重置成本或变现价值。(2)新旧设备残值变价收入。残值变价收入应作为现金流出的抵减。残值变价收入与原始投资额的差额,称为投资净额。(3)新旧设备的年营运成本,即年付现成本。如果有每年的营业现金流入,应作为每年营运成本的抵减。年金成本按如下方式计算:

〔例8-14〕某企业现有旧设备一台,准备予以更新,贴现率为15%,有关资料如表8-17。

表8-17 某企业新、旧设备资料

由于两设备的尚可使用年限不同,因此比较各方面方案的年金成本。计算如下:

计算表明,继续使用旧设备的年金成本12 742.76元,低于购买新设备的年金成本14 965.92元,每年可以节约2 223.16元,应当继续使用旧设备。

值得注意的是,在新旧设备使用年限不同时,运用年金成本指标进行方案决策,旧设备的变现价值应作为旧设备目前的假定投资额,计入旧设备的年金成本中。不能将旧设备的变现价值作为新设备的抵扣计入新设备的年金成本之中,否则得出错误的结论。如本例中,把旧设备目前变现价值10 000元计入新设备的年金成本中,则有:

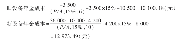
计算结果表明,旧设备年金成本低于新设备,每年可节约2 873.31元,比前述结果2 223.16元多计了650.15元。这种计算方式之所以不正确,是因为旧设备的现时价值10 000元在新设备购价中扣除后,是按新设备的使用年限10年摊销的。事实上,旧设备现时价值10 000元只能利用6年。另外,如果有所得税因素,还要考虑所得税对现金流量的影响。本例中,假定企业所得税率为40%:

对于新设备而言,每年折旧费为3 200元,每年营运成本为8 000元,因此:

税后营运成本=8 000×(1-40%)-3 200×40%=3 520(元)

新设备的购价为36 000元,报废时残值收入为4 200元,报废时账面残值4 000元,因此:

税后残值收入=4 200-(4 200-4 000)×40%=4 120(元)

税后投资净额=(36 000-4 120)÷(P/A,15%,10)+4 120×15%

=6 969.86(元)

新设备年金成本=6 969.86+3 520=10 489.86(元)

对于旧设备而言,每年折旧费为3 000元,每年营运成本为10 500元,因此:

税后营运成本=10 500×(1-40%)-3 000×40% =5 100(元)

旧设备目前变现价值为10 000元,目前账面净值为23 000(=35 000-3 000×4)元,资产出售损失为13 000元,可抵税5 200(=13 000×40%)元。同样,旧设备最终报废时残值收入3 500元。账面残值5 000元,报废损失1 500元可抵税600(=1 500×40%)元。因此:

旧设备投资额=10 000+(23 000-10 000)×40%=15 200(元)

旧设备税后残值收入=3 500+(5 000-3 500)×40%=4 100(元)

税后投资净额=(15 200-4 100)÷(P/A,15%,6)+4 100×15%

=3 548.40(元)

旧设备年金成本=3 548.40+5 100=8 648.40(元)

上述计算表明,继续使用旧设备的年金成本为8 648.40元,低于购买新设备的年金成本1 0489.86元,应采用旧设备方案。

〔例8-15〕力格公司目前有一台在用设备A的变现价值为3 000元,还可以使用5年。现计划更新设备,有两方案可供选择:方案一,5年后A设备报废时购进B设备替代A设备,B设备可用10年;方案二,目前用C设备立即替代A设备,C设备可用12年,贴现率为10%,有关资料如表8-18所示。

表8-18 力格公司三种设备的相关资料

根据上述资料,可计算出三种设备的年金成本分别为:A设备,1 991.35元;B设备,2 734.01元;C设备,2 444.19元。

以第二方案为基础,采用C设备与采用A设备5年内的年金成本差额现值为:

5年内年金成本差额现值=(2 444.19-1 991.35)×(P/A,10%,5)

=1 716.72(元)

在后7年内,第一方案将使用B设备,C设备与B设备比较,有:

7年内年金成本差额现值=(2 444.19-2 734.01)×(P/A,10%,7)×(P/F,10%,5)

=-876.13(元)

年金成本总差额现值=1 716.72-876.13=840.59(元)

上述计算表明,采用第二方案,在12年内年金成本现值比第一方案高84.59元。也就是说,采用第一方案,年金成本每年比第二方案节约123.36元(840.59/6.814),应当继续使用A设备。

(二)固定资产最优更新期决策

固定资产最优更新期决策是指选择最佳的淘汰旧设备的时间,此时该设备的年平均成本最低。

与固定资产相关的总成本在其被更新前共包括两大部分:一部分是运行费用(包括设备的能源消耗及其维护修理费用),另一部分是消耗在使用年限内的设备本身的价值。我们不难发现,固定资产的使用初期运行费比较低,以后随设备逐渐陈旧、性能变差,维护、修理、能源消耗会逐渐增加。与此同时,固定资产的价值逐渐减少,资产占用的资金应计利息会逐渐减少。随着时间的递延,运行成本与持有成本呈反向变化,必然存在一个最经济的使用年限,即年平均使用成本最低的年限。

年平均成本可用下列公式计算得出:

式中:UAC——固定资产年平均成本;

C——设备的原值;

Sn——第n年(设备被更新年)时的设备余值;

Ct——第t年设备的运行成本;

n——预计使用年限;

i——设定的投资报酬率。

通过上式计算出若干个不同更新期的平均年成本进行比较,从中找出最小的平均年成本及其年限。

〔例8-16〕设某资产原值为1 400元,运行成本逐年增加,折余价值逐年下降。有关数据如表8-19所示。

表8-19 固定资产的经济寿命i=8%

该项资产如果使用6年后更新,每年的平均成本是544.9元,比其他时间更新的成本低,因此6年是其经济寿命。