股票投资收益的计算

三 股票投资收益的计算

衡量股票投资收益水平的指标称为股票收益率。股票收益率是指一定时期内所得收益与投入本金的比率。为了便于比较分析,股票收益一般也以年率为计算单位。优先股除一般股票特征之外,还具有一定的债券特征,即具有面值、票面利率以及规定的支付时间等。因此,优先股投资收益率的确定可以参照债券持有期间收益率的公式。以下主要阐述普通股投资收益水平的确定。

(一)股利收益率

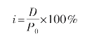
股利收益率是指股份公司以现金派发股利与本期股票市价的比率。如果投资者以某一市价购入股票,在持有股票期间得到公司派发的现金红利,则可用本期股票红利与股票购入价计算,这种已得的股利收益率对长期投资者尤为重要。如果投资者打算投资某种股票,可用该股票上期实际派发的现金红利或预计本期的现金红利与当时的股票市价计算,这种预计的股利收益率,对投资者进行投资决策有一定的参考价值。用下列公式表示:

式中:i——股利收益率;

D——实际现金红利或预计现金红利;

P0——代表股票购入价或市价。

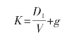
(二)股票总收益率

被投资公司发放的股利如果是增长型股利,股利收益率和股利增长率合起来就是股票的总收益率。由于股利的增长速度也就是股价的增长速度,因此股利增长率可以解释为股价增长率或资本利得增长率。公式为:

式中:K——股票总收益率;

D1——第一年的股利;

V——股票价值;

g——股利增长率。

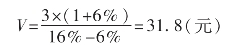
〔例9-10〕某股票的价格为30元,预计下一期的股利是3元,该股利将以大约6%的速度持续增长。该股票的预期报酬率为:

如果用16%作为必要报酬率,则一年后的股价为:

这就是说,如果投资人现在用30元购买该股票,年末将收到3元股利,并且得到1.8(=31.8-30)元的资本利得。

那么:总报酬率=股利收益率+资本利得收益率

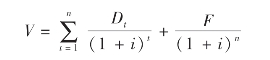
(三)持有期收益率

持有期收益率是指投资者买入股票持有一定时期后又卖出该股票,在投资者持有该股票期间的收益率。如投资者持有股票时间不超过一年,不用考虑资金时间价值,其持有期收益率可按如下公式计算:

如投资者持有股票时间超过一年,需要考虑资金时间价值,其持有期收益率可按如下公式计算:

式中:V——股票的购买价格;

F——股票的出售价格;

Dt——股票投资报酬(各年获得的股利);

n——投资期限;

i——股票持有期收益率。