本章小结

本章小结

1.在资本市场中,企业作为筹资方所付出的代价,即出资人提供资本,让渡资本使用权所要求的回报,就是资本成本。资本成本可以用绝对额表示,也可用相对比率表示。但在财务管理中一般用相对比率表示,即表示为年筹资代价与实际筹得资本的百分比。

2.资本成本可划分为个别资本成本、综合资本成本和边际资本成本。

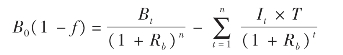
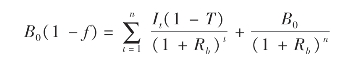
3.企业发行债券筹集的资本,属于债务性质的资本。在发行时需要支付债券的发行、印刷等筹集费用,在使用期间需要支付利息,到期需要偿还本金。考虑资金时间价值,考虑所得税的影响,则债券资本成本的计算公式可表述如下:

(1)分期付息,到期一次还本的债券,面值发行。

(2)到期一次还本付息的债券,面值发行。

(3)零息债券(纯贴现债券),面值发行。

4.银行借款取得资本也属于债务性质的资本,所以银行借款资本成本的计算方法基本与债券资本成本相同。

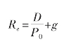
5.优先股资本成本的计算可以采用永续年金形式,计算公式如下:

6.普通股成本的确定方法有三种:现金流量法折现法、资本资产定价模型、债券收益加风险溢价法。

7.留存收益资本成本与普通股资本成本相同,只是留存收益不需要支付筹集费用。计算公式如下:

8.综合资本成本的计算采用加权平均的计算方法,以各方式筹资量在总资本中所占比例为权重,对各方式筹资的个别资本成本进行加权平均计算。用公式表示如下:

9.边际资本成本计算步骤如下:

(1)根据个别筹资突破点计算筹资总额突破点;

(2)分段计算边际资本成本。

筹资总额突破点用公式表示如下:

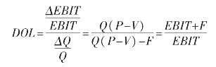
10.反映企业经营风险大小的指标是经营杠杆系数,经营杠杆系数是指企业息税前利润变动率与产销量变动率之比,反映公司息税前利润对销售量的敏感程度。即:

11.财务风险的大小一般用财务杠杆系数衡量。财务杠杆系数是指企业普通股每股收益变动率与息税前利润变动率之比,用于反映息税前利润的变动对普通股每股收益的影响程度。即:

12复合杠杆的大小一般用复合杠杆系数表示。它是企业每股收益变动率与产销量变动率之比,即:

DTL=DOL×DFL

13.资本结构是指公司长期资本(长期负债、优先股、普通股)的构成及其比例关系。最优资本结构是指在一定条件下使企业综合资本成本最低,企业价值最大的资本结构。资本结构理论有权衡理论等。确定资本结构的方法:(1)资本成本比较法;(2)每股收益分析法;(3)公司价值比较法。