二 股票的估价

二 股票的估价

同进行债券投资一样,企业进行股票投资,也必须知道股票价格的计算方法。优先股的估价比较简单,其计算方法与债券基本一样,在此不再赘述。现介绍几个常见的普通股估价模型。

(一)股票估价基本模型

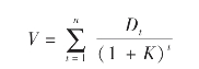
股票的价值从理论上说,如果股东不中途转让股票,股票投资没有到期日,投资于股票所得到的未来现金流量就只是各期的股利。

假定某股票未来各期股利为Dtt为期数),K为估价所采用的贴现率,即所期望的最低收益率,股票价值的估价模型为:

(二)短期持有股票,未来准备出售的股票估价模型

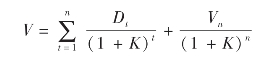
在一般情况下,投资者投资于股票,不仅希望得到股利收入,还希望在未来出售股票时从股票价格的上涨中获得好处。此时的股票估价模型为:

式中:V——代表股票现在价格;

Vn——未来出售时预计的股票价格;

K——投资人要求的报酬率;

Dt——第t期的预期股利;

n——预计持有股票的期数。

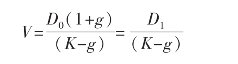
(三)长期持有股票,股利稳定不变的股票估价模型

在每年股利稳定不变,投资人持有期间很长的情况下,根据股票估价基本模型,当n 非常大时,可看作是永续年金,股票的估价模型可简化为:

式中:D代表每年固定股利。

〔例9-6〕某种股票预计每年分配股利3元,最低报酬率为15%,则:

即该股票每年给你带来3元的收益,在市场利率为15%的条件下,它相当于20元资本的收益,所以其价值是20元。当然,市场上的股价不一定就是20元,还要看投资人对风险的态度,可能高于或低于20元。

如果当时的市价不等于股票价值,如市价为16元,每年固定股利是3元,则其预期报酬率为:

可见,当市价低于股票价值时,预期报酬率高于最低报酬率。

(四)长期持有股票,股利固定增长的股票估价模型

式中:D0——当前股利;

D1——第1年的预期股利;

g——股利增长率,其余符合含义同上。

〔例9-7〕时代公司准备投资购买东方信托投资股份有限公司的股票,该股票去年每股股利为2元,预计以后每年以4%的增长率增长,时代公司经分析后,认为必须得到10%的报酬率,才能购买东方信托公司股票,则该种股票的价格应为多少?

依公式:V=2×(1+4%)÷(10%-4%)=34.67(元)

即东方公司的股票价格在此34.67元以下时,时代公司才能购买。

未来每期股利的固定增长率g 是不容易估计的。从理论上看,g 就是公司的成长率,它至少应当不低于整个社会国民生产总值的增长率。从操作上看,一条近似的思路是以净资产报酬率为标准来推断股利增长率g。公司把每年盈余的一部分留存下来,扩大了公司的权益资本额,进而创造更多的未来盈余。利润留存增加资本,资本扩大增加利润,多获利润则多分股利。按这样一条思路,假定一个经营稳定的公司,每年的股利发放率都相等,每年的净资产报酬率也相等,则每年盈余的留存部分用于再投资,也能取得与净资产报酬率一致的收益率。因此,可以认为:股利增长率g=(1-股利发放率)×净资产报酬率。

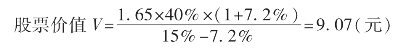
〔例9-8〕某公司本期每股收益(EPS)为1.65元,股利发放率为40%,净资产报酬率为12%,股东所要求的报酬率为15%,有:

股利增长率g=(1-40%)×12%=7.2%

(五)长期持有股票,股利非固定增长的股票估价方法

在现实生活中,有的公司股利是不固定的。例如,在一段时间里高速成长,在另一段时间里正常固定成长或固定不变。在这种情况下,就要分段计算,才能确定股票的价值。

〔例9-9〕某企业持有东方公司的股票,它的投资最低报酬率为15%。预计东方公司未来3年股利将高速增长,成长率为20%。在此以后转为正常增长,增长率为12%。东方公司最近支付的股利是2元。东方公司股票的价值是多少?

第一步,计算非正常增长期的股利现值如表9-1所示。

表9-1 东方公司非正常增长期的股利现值

第二步,计算第3年年底的普通股内在价值:

其现值为:129.02×(P/F,15%,3)=129.02×0.658=84.90(元)

第三步,计算股票目前的内在价值:V=6.539+84.90=91.439(元)

(六)用市盈率估计股价高低

由于预计未来股利的困难,极大地限制了股票价值估价模型使用的广泛性。在实务中,可以利用市盈率大致地估计股票投资的内部收益率。

市盈率(Price-Earning Ratio),是股票目前市价与每股盈余的比值。以股价是每股盈利的倍数表示。市盈率可以粗略反映股价的高低,表明投资人愿意用盈利的多少倍的货币来购买这种股票,是市场对该股票的评价。

所以:股票价格=该股票市盈率×该股票每股盈利

股票价值=行业平均市盈率×该股票每股盈利

一般认为,股票的市盈率比较高,表明投资者对公司的未来充满信任,愿意为每1元盈利多付买价。这种股票的风险比较小。股票的市盈率比较低,表明投资者对公司的未来缺乏信心,不愿意为每1元盈利多付买价。这种股票的风险也比较大。过高或过低的市盈率都不是好兆头,平均的市盈率在10~11之间,市盈率在5~20之间是比较正常的。