复合杠杆(或总杠杆)
2025年09月26日
四 复合杠杆(或总杠杆)
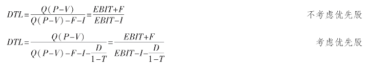
如前所述,由于存在固定的生产经营成本,产生经营杠杆作用,使息税前利润的变动率大于产销量的变动量,同样,由于存在固定的财务成本(如固定利息和优先股股利),产生财务杠杆作用,使企业每股收益的变动率大于息税前利润的变动率。如果固定经营成本和固定财务费用同时存在,那么,两种杠杆共同起作用,即产销量稍有变动就会使每股收益产生更大变动。通常将这两种杠杆的连锁作用称为复合杠杆。复合杠杆的大小一般用复合杠杆系数表示。它是企业每股收益变动率与产销量变动率之比,即:
引用前面已推导的公式,则:
在复合杠杆的作用下,当企业经济效益好时,每股利润会大幅度上升;当企业经济效益差时,每股利润会大幅度下降。企业复合杠杆系数越大,每股利润的波动幅度越大。由于复合杠杆作用使每股利润大幅度波动而造成的风险,称为复合风险。在其他因素不变的情况下,复合杠杆系数越大,复合风险越大;复合杠杆系数越小,复合杠杆风险越小。
必须注意的是:企业为了达到某一复合杠杆系数,经营杠杆和财务杠杆可以有很多不同的组合。例如,经营杠杆较高的公司可以在较低的程度上使用财务杠杆;经营杠杆较低的公司可以在较高的程度上使用财务杠杆。