本章小结

本章小结

1.货币的时间价值,即货币经历一段时间的投资和再投资所增加的价值。复利终值是指一定量的本金复利计算若干期后的终值。复利现值是复利终值的逆运算,是指未来一定时间内特定资金按复利计算的现在价值,或者说是为取得将来一定终值现在所需要的本金。复利终值和现值的计算公式:

F=P×(1+i)n

P=F×(1+i)-n

2.年金是指一定时期内每次等额、等时间间隔收付的系列款项。按其每次收付发生的时点不同,可分为普通年金、即付年金、递延年金和永续年金。

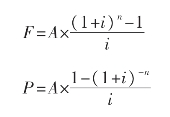
3.普通年金终值是指一定时期内每期期末等额收付系列款项的复利终值之和。普通年金终值和现值的计算公式:

偿债基金是指为使年金终值达到既定金额每年应支付的年金数额。偿债基金是年金终值的逆运算。普通年金现值是指一定时期内每期期末等额系列收付款项的复利现值之和。资本回收额是指在给定的年限内等额回收初始投入的资本。资本回收额是年金现值的逆运算。

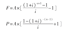
4.即付年金是指各期期初收付的年金。即付年金与普通年金的区别仅在于收付款项的时点不同。即付年金终值和现值计算公式:

5.递延年金是指第一次收付款项的发生时间不在第一期末,而是隔若干期后才开始发生等额收付的款项。递延年金的终值大小,与递延期无关,计算方法和普通年金终值相同;递延年金现值的计算方法有三种:

P=A×(P/A,i,n)×(P/F,i,m)

P=A×[(P/A,i,m+n)-(P/A,i,m)]

P=A×[(F/A,i,n)×(P/F,i,m+n)]

6.永续年金是指无期限等额收付的特种年金。由于永续年金持续期无限长,没有终止的时间,因此没有终值,只有现值。永续年金现值的计算公式为:

除了计算终值和现值外,还要注意时间价值计算中的几个特殊问题:折现率、期数和利率的推算。

7.风险是指在一定条件下和一定时期内某一行动的结果具有不确定性。按形成的原因,分为经营风险与财务风险两大类。经营风险是指因生产经营方面的原因给企业盈利带来的不确定性。经营风险主要来自市场销售、生产成本、生产技术等。财务风险是指由于举债而给企业财务成果带来的不确定性。从个别投资主体的角度看,风险分为市场风险和公司特有风险两类。

8.单项资产风险与报酬的衡量,计算步骤如下:

(1)计算期望值:

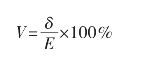
(2)计算标准差:

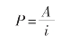
(3)计算标准离差率:

(4)计算期望投资总报酬率:

K=RF+RR=RF+bV

9.证券投资组合的风险可以分为两种性质完全不同的风险,即系统风险和非系统风险。不可分散风险的程度,通常用β系数来衡量。

资本资产定价模型是揭示投资组合风险与报酬之间关系的一个重要模型。

Ki=RFi×(RM-RF)

其中影响投资者必要报酬率的因素主要有:无风险报酬率、市场风险补偿率、β系数的变化。