资本成本的计算

三 资本成本的计算

(一)个别资本成本计算

个别资本成本是指对不同筹资方式筹集的资本进行分别计算,以确定成本较低的筹资方式。根据几种主要的筹资方式,分别掌握发行债券、银行借款、发行优先股、发行普通股以及留存收益5种方式筹资的个别资本成本。

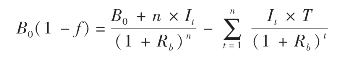
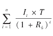
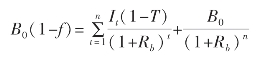
1.债券资本成本。企业发行债券筹集的资本,属于债务性质的资本。在发行时需要支付债券的发行、印刷等筹集费用,在使用期间需要支付利息,到期需要偿还本金。考虑资金时间价值,考虑所得税的影响,则债券资本成本的计算公式可表述如下:

(1)分期付息,到期一次还本的债券,面值发行。

如果考虑利息抵税效应,则有:

式中:Rb——债券资本成本;

B0——债券面值;

Bt——到期偿还本金;

f——筹集费用率;

T——所得税率;

It——债券年利息;

n——债券年限。

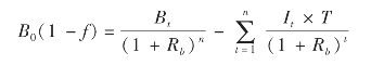
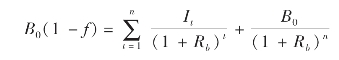
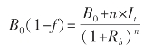
(2)到期一次还本付息的债券,面值发行。

如果考虑利息抵税效应,则有:

其中,为利息抵税,当然上式也可以适当简化。

(3)零息债券(纯贴现债券),面值发行。

式中符号同上。

(4)考虑债券溢价或折价发行采用实际利率法核算对税收的影响,财务费用也应该按照实际利率计算。

〔例6-1〕2018年12月31日,甲公司经批准发行5年期一次还本、分期付息的公司债券10 000 000元,债券利息在每年12月31日支付,票面利率为6%。债券发行价格为10 432 700元。筹集费率为2%,企业所得税率为40%。

10 000 000×6%×(P/A,r,5)+10 000 000×(P/F,r,5)=10 432 700

用试算法确定,实际利率为5%;

则用实际利率×摊余成本得每年利息费用,计算如表6-1所示。

表6-1 甲公司各年利息费用表

10 432 700-10 432 700×2%×(1-40%)=(600 000-521 635×60%)×(P/F,Rb,1)+(600 000-517 716.75×60%)×(P/F,Rb,2)+(600 000-513 602.59×60%)×(P/F,Rb,3)+(600 000-509 282.72×60%)×(P/F,Rb,4)+(600 000-505 062.94×60%)×(P/F,Rb,5)+10 000 000×(P/F,Rb,5)

再用试算法或用Excel插入函数IRR计算即可。

(5)有的情况下,付息频率短于一年,或者其他的不规则付息方式,则按照资金时间价值计算方式加以调整计算[先算半年利率再调整为实际年利率,即(1+半年利率)2-1]。

〔例6-2〕面值1 000元,息票率10%,2年期,面值发行,半年付息的债券,求债券资本成本率。不考虑税和筹集费用。

1 000=1 000×10%×1/2×(P/A,r,4)+1 000×(P/F,r,4)

用内插法求得半年期的利率为5%;

则年资本成本率为10.25%[=(1+5%)2-1]。

2.银行长期借款资本成本。银行长期借款是企业筹资的一个主要来源,银行长期借款取得资本也属于债务性质的资本,所以银行长期借款资本成本的计算方法基本与债券资本成本相同。

计算时需要注意不同的付息方式对资本成本的影响。

债券有溢折价发行,银行长期借款也有类似的问题,即补偿性余额。公司申请长期借款,银行往往要求借款人从贷款总额中扣留一部分以无息回存的方式作为担保,这种情况下,公司实际能使用的资本比借款本金要小,则实际的资本成本率会提高。

3.优先股资本成本。企业发行优先股筹集的资本,属于权益性质的资本。优先股虽然性质属于股票,但因其年股利额基本固定,实质上接近于债券年固定利息,企业一般把优先股视同为债务。所以,基本计算原理与债券资本成本相同。

优先股与债券的区别有两点:第一,优先股股息税后支付,而债券利息额是在税前支付,所以,债券利息能够带来避税效益,而优先股股息没有避税效益;第二,优先股与普通股一样,没有到期日。

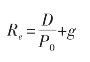
因此,优先股资本成本的计算可以采用永续年金形式。优先股资本成本计算公式如下:

式中:Rp——优先股资本成本;

D——年股利;

P0——优先股票市场价格(即筹资额)。

4.普通股资本成本。普通股成本的确定方法有三种:现金流量折现法、资本资产定价模型、债券收益加风险溢价法。

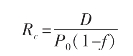
(1)现金流量折现法。

式中:Rc——普通股资本成本;

Dt——普通股各年股利;

f——筹资费用率。

这个公式不适宜于计算,因为很难对无限期的股利额进行预计。如果假设未来的股利额具有一定的规律,就可以进行计算。根据不同的假设,可以衍生出不同的计算模式,主要的有固定股利额模式、股利固定增长模式。

①固定股利额模式。固定股利额模式假定企业未来普通股利额每年相等不会发生变化。这样普通股与优先股股利支付情况完全一样,可套用优先股资本成本计算公式。

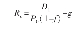
②股利固定增长模式。股利固定增长模式假定企业普通股未来的股利按照固定的增长率上升,这比第一种假设更加贴近实际情况。

式中:D1——预计下一期发放的股利额;

g——预计未来股利的增长率。

股利固定增长模式下,普通股资本成本的计算公式可分解为两个部分之和,第一部分是预计第一年的股利收益率,第二部分是股利的增长率。假定股利额固定不变,则去掉第二部分的增长率,即固定股利额模式下普通股资本成本计算公式。

对于股利额固定不变或者股利固定增长的假设,都很难与实际的情况吻合。不仅不一致,而且很难找出规律,也不一定是每年定期发放股利,因此,这两种模式的计算只有股利额发放稳定的企业适用。

(2)估计股票收益率。企业发行普通股票筹集资本,维持其股价所需付出的最低股息既是证券市场上股票投资人按现有股价进行投资所要求的最低收益率,也是企业发行普通股筹集资本的成本。因此,我们可以通过对投资人要求的最低收益率进行估算,来确定企业普通股筹资的资本成本。

①资本资产定价模式。资本资产定价模型是证券风险定价的模型,用来确定与风险对应的必要报酬率水平。股票投资的必要报酬率即是企业发行股票筹资的必要资本成本。

Rc=Rfi(Rm-Rf)

该模型应用于此的一些问题:资本资产定价模型的应用有严格的假设条件,这可能会导致与实际的偏差;另外,应用过程中很难确定β系数,这将直接影响最终计算结果;资本资产定价模型的线性假设,即以Rm-Rf为斜率的证券市场线,认为收益是风险的倍数,这与实际不完全吻合。

②风险溢价模式。债券投资人能够按照约定定期得到定量的回报,到期收回投入资本金,债权人的权益也有法律的严格保护;而股票投资人的投资报酬存在很大的不确定性,也不能到期收回投资额。因而债权人所冒的风险较小,而股东所冒的风险较大。

按照风险收益平衡的原理,股东自然要求高于债券投资的收益率。对企业而言就是股票资本成本高于债券资本成本。我们在债券收益率基础上附加风险补偿率,用来描述股东收益率,即是股票资本成本。长期债券收益率确定比较容易,风险溢价的确定一般采用历史平均风险溢价。研究表明,在利率稳定期间,股票收益超出债券收益的风险溢价一般在4%~6%之间。

5.留存收益成本。企业所使用的资本除了外部筹集,就是从内部节流。内部筹资最主要的渠道就是留存收益,企业税后净利润分配后留在企业的一部分就可以用于后续扩大投资。这部分资本看似没有成本付出,但税后净利润全部归企业全体股东所有(无论发放现金股利或是留存企业),所以留存收益同样需要考虑资本成本。

从股东的角度来讲,留存收益属于企业股东所有,是股东对企业的再投资,是股东放弃现在的收益以求未来的长远收益。那么这部分再投资一定要能取得与普通股票投资同等的收益率,否则股东应该选择发放现金股利而不是继续投资。

因而,留存收益资本成本与普通股资本成本相同,只是留存收益不需要支付筹集费用。计算公式如下:

式中:Re——留存收益资本成本。

(二)综合资本成本计算

企业用不同方式取得的资本,个别资本成本高低各不相同,在筹资和投资决策中,往往需要计算出企业全部资本的综合资本成本。

综合资本成本受两个因素的影响,一是各筹资方式筹集资本的个别资本成本,二是各筹资方式筹资量的比例结构(即资本结构)。在资本结构不变的前提下,个别资本成本越高,则综合资本成本越高。在个别资本成本不变的前提下,不同的资本结构安排也会对综合资本成本产生影响。

综合资本成本的计算采用加权平均的计算方法,以各方式筹资量在总资本中所占比例为权重,对各方式筹资的个别资本成本进行加权平均计算。用公式表示如下:

式中:WACC——综合资本成本;

Wj——第j种筹资方式筹资量所占比重;

Rj——第j种筹资方式筹资的个别资本成本。

计算所采用的权数,有三种确定方法:一是根据账面价值计算权数;二是以市场价格计算权数;三是以预计未来价格计算权数。以各类资本账面价值计算权数,资料比较容易取得,可以依据资产负债表中的数字计算,但账面价值倾向于过去的历史价值,所以账面价值权数的决策相关性不好;以各类资本的市场价值计算权数,由于资本市场上的价值量波动较大而难以确定,但用于资本成本计算更能反映企业现在实际的资本成本水平;以未来市价计算权数,则数据资料难以取得,从而客观性较差,依赖于预测的准确性,但是对于企业未来的筹资和投资决策都有更大的帮助。

〔例6-3〕某企业计划筹集资金100万元,所得税税率25%,有关资料:①向银行借款10万元,利息率7%;②按溢价发行债券,面值14万元,发行价格15万元,票面利率9%,期限5年,年付息;③发行优先股25万元,预计年股利率为12%;④发行普通股40万元,每股发行价格10元,预计第一年股利1.2元,以后每年按8%增长;⑤其余所需资金通过留存收益取得。

要求:①计算个别资本成本;②计算综合资本成本。

借款资本成本=7%×(1-25%)=5.25%

综合资本成本=10%×5.25%+15%×6.3%+25%×12%+40%×20%+10%×20%=14.47%

(三)边际资本成本计算

企业在现有经营基础上,增大投资规模,即意味着追加筹资。在现有资本规模和资本结构基础上扩资,新增资本的成本比原有资本成本高,而且追加筹资量越大,则边际资本成本越高。这势必对打算扩充的原有项目或者新增投资项目的收益率有新的更高的要求。

边际资本成本就是指新增资本的综合资本成本。边际资本成本受两个因素的影响,一是各筹资方式新增资本的个别资本成本,二是新增资本中各筹资方式筹资量的比例结构。

如果各筹资方式都能以不变的个别资本成本追加筹资,且追加筹资时各筹资方式筹资量的比例结构能维持不变,则边际资本成本等于原有综合资本成本。而两因素中有一个发生了变化就会使边际资本成本发生变化,当然一般的变化方向是增加资本成本。这是因为,资本市场中筹资量越大筹资难度就越大,出资人要求的回报越高;而债权人的风险随着企业债务资本量增大而增大,则要求的报酬也相应增大。出资人所要求的与之所冒风险对等的报酬率也就是企业的资本成本。

计算步骤如下:

(1)根据个别筹资突破点计算筹资总额突破点;

(2)分段计算边际资本成本。

筹资突破点即以不变资本成本筹资总量,筹资总额突破点等于某一筹资方式以不变个别资本成本筹资限量除以该筹资方式在总资本中所占比重,这是因为追加筹资以保持特定的资本结构为前提。用公式表示如下:

〔例6-4〕企业现有资本结构为理想资本结构,如表6-2所示。企业希望在追加筹资后保持不变,如表6-3所示。现有债务资金40%,普通股票筹资占60%。

表6-2 企业现有资本结构

计算追加筹资的边际资本成本。

企业追加筹资后的资本结构如表6-3所示。

表6-3 企业追加筹资后的资本结构

因此,企业追加筹资的边际资本成本如表6-4所示。

表6-4 企业追加筹资的边际资本成本