存货管理的目标及存货成本

二 存货管理的目标及存货成本

(一)存货管理的目标

存货管理的目标是要控制存货水平,在充分发挥存货功能的基础上,降低存货成本,保证生产和销售的经营需求。往往某种材料的缺乏或供货点的遥远,会造成企业的停产,给企业造成损失。在市场竞争的条件下,批发价格往往优惠于零售单价。但是存货增多,会相应增加仓储费用等等。

(二)存货成本

储存一定量的存货,需要一定的成本,其成本组成如下:

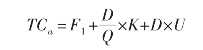
1.存货取得成本。存货取得成本是指为取得存货而支出的成本,通常用TCS来表示。它分为订货成本和购置成本。

(1)订货成本。订货成本是指取得订单所耗费的成本,如差旅费、办公费用、电话费等,订货成本中有一部分是与订货次数无关的成本,如常设采购机构的基本开支等也称为订货的固定成本,用F1表示;另一部分与订货次数有关,如差旅费、电话费等,称为订货的变动成本。如果每次订货的变动成本用K表示;订货次数等于存货年需要量D与每次进货量Q之比。因此,订货成本的计算公式为:

(2)购置成本。购置成本是指存货内在的价值。如果已知单价为U,则购置成本为D×U。订货成本与购置成本之和,就是存货的取得成本。其计算公式为:

存货取得成本=订货成本+购置成本

=订货固定成本+订货变动成本+购置成本

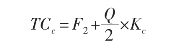
2.存货储存成本。存货储存成本是指为了保持仓储存货而发生的成本,包括存货占用成本和应计的利息(包括放弃利息机会成本和利息费用)、保险费等等。储存成本用TCc表示。

储存成本也分为固定成本和变动成本。固定成本与存货数量无关,如仓库折旧、仓库职工月工资等,常用F2表示。变动成本与存货的数量有关,如存货资金的应计利息、存货的破损和变质等,单位成本用Kc表示。这样储存成本计算公式为:

存货储存成本=储存固定成本+储存变动成本

3.存货缺货成本。存货缺货成本是指由于存货供应中断而造成的损失,包括因存货缺货而造成的损失和失去的机会成本,其存货缺货成本用TCs表示。

如果用TC表示储备存货的总成本,它的计算公式为:

企业存货的最大化,就是指TC达到最小。