三 贴现评价指标

三 贴现评价指标

贴现评价指标是指在考虑资金时间价值的条件下分析评价投资项目经济上的效益性的指标。最常用的指标有净现值、净现值率、获利指数、内含报酬率、动态投资回收期等。

(一)净现值

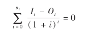
净现值是指投资项目投入使用后的净现金流量,按资本成本或企业要求达到的报酬率折算为现值,减去初始投资以后的余额,叫净现值。其公式为:

式中:It——第t年的现金流入量;

Ot——第t年的现金流出量;

i——贴现率;

n——项目预计年限。

以净现值评价投资方案,如果净现值是正数,表明项目本身可实现的收益率大于所用的贴现率(或要求达到的报酬),项目可行;如果净现值为负数,说明项目本身实现的收益率小于所用的贴现率(或要求达到的报酬率),项目不可行。如果是几个原始投资额相等的投资方案比较,则以净现值大者为优。

净现值考虑了资金的时间价值,将不同时间的现金流量折算成现值,进行比较,反映了投资项目的真实净收益,但净现值只能反映投资净收益的数量,没有揭示投资项目的实际收益率水平,不能反映投资的获利能力,因此净现值只能用于评价某个投资方案的可行性和比较原始投资额相等的投资方案的优劣。

〔例8-4〕设贴现率为10%,有三个投资方案。有关现金流量的数据如表8-4所示。

表8-4 A、B、C三个投资方案的现金流量 单位:元

依据公式,有:

NPV(A)=(11 800×0.909 1+132 40×0.826 4)-20 000

=21 669-20 000=1 669(元)

NPV(B)=(1 200×0.909 1+6 000×0.826 4+6 000×0.751 3)-9 000

=10 557-9 000=1 557(元)

NPV(C)=4 600×2.487-12 000

=11 440-12 000=-560(元)

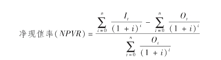
(二)净现值率

净现值率(NPVR)是指投资项目的净现值占原始投资现值总和的百分比指标,计算公式为:

式中符号含义同上。

〔例8-5〕根据例8-4的资料,A、B、C三个方案的净现值率计算如表8-5所示。

表8-5 A、B、C投资方案的净现值率计算表 单位:元

当某一个项目的NPVR大于零,意味着产出大于投入,则该项目可行;否则,项目不可行。净现值率可以动态地反映资金投入与净产出之间的关系,计算比较简单,但是无法直接反映项目的实际收益率。

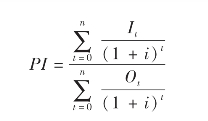
(三)获利指数

获利指数(PI)是指投资项目未来报酬(现金流入量)的总现值和与初始投资额之比。其也称现值指数、现值比率、贴现后收益—成本比率等。其计算公式为:

即:PI=未来报酬的总现值÷初始投资额=1+NPVR

式中符号含义同前。

获利指数的计算与计算净现值所采用的方法类似。

在只有一个备选方案的采纳与否决策中,获利指数大于1,意味着该项目收回投资后,还可获利,故此投资方案应予采纳;获利指数小于或等于1,意味着该项目连投资都收不回来或刚够收回投资而无利可图,因而投资方案不可行。如果几个方案的获利指数均大于1,那么获利指数越大,投资方案越好。但在采用获利指数进行互斥方案的选择时,其正确的选择原则不是选择获利指数最大的方案,而是在保证获利指数大于1的条件下,使追加投资所得的追加收入最大化。

〔例8-6〕根据例8-5资料,A、B、C三个方案的现值指数计算如表8-6所示。

表8-6 A、B、C投资方案的现值指数计算表 单位:元

获利指数考虑了资金的时间价值,反映了投资项目的获利程度和投资效率的大小。而且获利指数从动态的角度反映项目投资的资金投入与产出之间的关系,可以弥补净现值在投资规模不同的项目之间不能比较的缺陷,使不同规模的投资方案之间可直接用获利指数进行对比。但获利指数不易理解,而且也不能揭示投资本身能达到的具体报酬率。

(四)内含报酬率

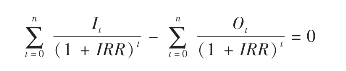
在计算方案的净现值时,以预期投资报酬率作为贴现率计算,净现值的结果往往是大于零或小于零,这就说明方案实际可能达到的投资报酬率大于或小于预期投资报酬率;而当净现值为零时,说明两报酬率相一致。根据这个原理,内含报酬率(IRR)就是要计算出使净现值等于零时的贴现率,这个贴现率就是投资方案的实际可能达到的投资报酬率。其计算公式为:

式中:IRR代表内含报酬率,其他符号含义同前。

内含报酬率是个贴现的相对量的指标,采用这一指标的决策标准是将所测算项目的内含报酬率与资本成本或企业要求的最低报酬率比较,如果该项目的内含报酬率大于资金成本率,说明企业投资弥补成本后仍有利可图,项目可接受;若项目的内含报酬率小于资金成本率,说明企业投资无利可图,应拒绝。对多个方案进行选择时,如果几个投资方案的内含报酬率都大于其资金成本,且各方案的投资额相同,那么内含报酬率与资金成本之间差异最大的方案最好;如果几个投资方案的内部收益率均大于其资金成本,但各方案的原始投资额不等,其决策标准应是“投资额×(内含报酬率-资金成本)”最大的方案为最优方案,或者采用差额投资内含报酬率法来进行判断。

内含报酬率的计算,通常需要“逐步测试法”。经过多次测试,寻找出使净现值接近于零的贴现值,如果对测试结果的精确度不满意,可以使用“内插法”来改善。

〔例8-7〕某投资项目在建设起点一次性投资254 580元,当年完工并投产,经营期为15年,每年可获净现金流量50 000元。根据内含报酬率的定义有以下表达式:

50 000×(P/A,IRR,15)-254 580=0

(P/A,IRR,15)=254 580/500 00=5.091 6

查年金现值系数表,发现:

(P/A,18%,15)=5.091 6

因此,该项目的IRR=18%。

〔例8-8〕某企业拟建一项固定资产,需投资100万元,按平均年限法计提折旧,使用寿命10年,期满后无残值。该项工程于当年投产,预计投产后每年可获净利10万元。可计算该方案的内含报酬率如下:

每年的现金流入净额=净利+折旧=10+100/10=20(万元)

(P/A,IRR,10)=100/20=5.000 0

查年金现值系数表,有:

(P/A,14%,10)=5.216 1>5.000 0

(P/A,16%,10)=4.833 2<5.000 0

可见,14%<IRR<16%,应使用内插法

内含报酬率与获利指数有相似之处,都是用相对数来评价方案,不像净现值那样使用绝对数来评价方案。在评价方案时要注意到,比率高的方案绝对数不一定大,反之也一样。如果两个方案之间是互相排斥的,应选择净现值大的方案;如果这两个方案是相互独立的,即采纳这一方案时不排斥同时采纳另一方案,此时很难根据净现值来排定优先次序。内含报酬率可解决这个问题,应优先安排内部收益率较高的方案,如有足够的资金再安排另一方案。

内含报酬率与现值指数也有区别。计算内含报酬率不必事先选择贴现率,根据内含报酬率就可以排定独立投资的优先次序,只是最后需要一个切合实际的资金成本或最低报酬率来判断方案是否可行。现值指数的计算需要一个适合的贴现率,以便将现金流量折为现值。贴现率的高低将会影响方案的优先次序。

内含报酬率评价指标的优点在于非常注重资金的时间价值,能从动态的角度直接反映投资项目的实际收益水平,且不受所设定的贴现率高低的影响,比较客观。缺点在于:第一,该指标的计算过程十分复杂;第二,当经营期大量追加投资时,有可能导致多个内部收益率出现,偏高或偏低,缺乏实际意义;第三,在互斥投资方案决策时,如果各方案的原始投资额不相等,无法做出正确的决策。产生这种现象的原因,正是基于内含报酬率是假设项目营运中各期产生的现金流量,都要求按该报酬率取得并贴现回收的,造成内含报酬率高的项目净现值却很低的现象。下面例子说明了内含报酬率的这种局限。

〔例8-9〕假设有两个互斥投资项目A和B,它们的原始投资额是不相等的,有关资料如表8-7所示。

表8-7 项目投资测算表 单位:元

该例中,A项目净现值高但内含报酬率低,从内含报酬率角度决策应采用B项目。但是,由于两项目是互斥投资方案,尽管A项目投资额大、内含报酬率低,但在计算净现值时已经抵减了实施该项目的本金9 477元和按资本成本率8%计算的利息,因而应选择净现值大的方案A。进一步看,A项目的原始投资9 477元按资本成本率要求每年应收回3 678(=9 477÷2.577)元,实际每年收到现金流量4 500元,每年产生了822元投资报酬;B项目的原始投资5 943元按资本成本率计算的投资回收为2 306(=5 943÷2.577)元,实际每年收到的现金流量3 000元中每年产生694元投资报酬。A项目每年平均的投资报酬高于B项目,应当选择A方案。

事实上,由于A项目原始投资额大(9 477元),因此每年现金流量中,投资回收的份额也较大(3 678元)。但内含报酬率法假定每年现金流量是以原始投资额按20%取得的(4 500元),而投资回收额是按资本成本率8%要求确定每年回收额的(3 678元),因而每年现金流量扣除投资回收后的投资报酬也较高(822元)。只有当两方案每年现金流量中投资报酬的数额相等时,内含报酬率法与净现值法才会得出同样的结论。我们假定资本成本率为i时年金现值系数为(P/A,i,3),则:

运用内插法,得i=13.15%

从表8-8和上面的计算可以看出:当资本成本率低于13.15%时,内含报酬率法无法得出正确的结论;当资本成本率高于13.15%时,内含报酬率法的结论与净现值的结论相同。反之,对于投资额不同的互斥投资方案来说,净现值法的结论是合理的。A、B项目不同贴现率下的净现值如表8-8所示。

表8-8 不同贴现率下的净现值 单位:元

以上四个贴现指标之间有如下的关系:如果ic为某企业的行业基准贴现率,净现值NPV、净现值率NPVR、现值指数PI和内含报酬率IRR各指标之间存在以下数量关系,即:

当NPV>0时,NPVR>0,PI>1,IRR>ic

当NPV=0时,NPVR=0,PI=1,IRR=ic

当NPV<0时,NPVR<0,PI<1,IRR<ic

(五)动态投资回收期

动态投资回收期(Pt′)又称贴现回收期,是指从项目投建之日起,用项目各年的已贴现现金流量将全部投资现值收回所需的期限。同样道理,动态投资回收期一般是越短越好,其表达式为:

上式是一个一元高次方程,为简便地计算动态投资回收期,可用以下实用公式:

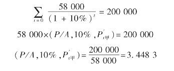
〔例8-10〕资料见例8-1,基准贴现率i=10%,求动态投资回收期,并对甲、乙方案进行分析。

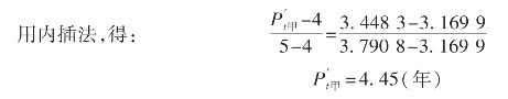
(1)求甲方案的动态回收期。

查年金现值系数表,(P/A,10%,4)=3.169 9,(P/A,10%,5)=3.790 8

(2)求乙方案的动态回收期。

乙方案的累计净现值如表8-9所示。

表8-9 乙方案的累计净现值计算表i=10%

由表8-9可知,乙方案下,考虑时间价值的话,直至设备报废,还不能收回初始及后续支出。

所以乙方案不具财务可行性,应选择甲方案。

从本例和例8-3,容易推断出一般投资项目的动态投资回收期大于静态投资回收期。

动态回收期和静态回收期有一个共同局限,这就是它们计算回收期时只考虑了未来现金流量小于和等于原投资额的部分,没有考虑超过原投资额的部分。显然,回收期长的项目,其超过原投资额的现金流量并不一定比回收期短的项目少。

(六)贴现现金流量指标的比较

1.净现值和内部报酬率的比较。在多数情况下,运用净现值和内部报酬率这两种方法得出的结论是相同的。但在如下两种情况下会产生差异:(1)初始投资不一致,一个项目的初始投资大于另一个项目的初始投资;(2)现金流入的时间不一致,一个在最初几年流入得较多,另一个在最后几年流入得较多。尽管是在这两种情况下二者产生了差异,但引起差异的原因是共同的,即两种方法假定中期产生的现金流量进行再投资时,会产生不同的报酬率。净现值法假定产生的现金流入量重新投资会产生相当于企业资金成本的利润率,而内部报酬率法却假定现金流入量重新投资产生的利润率与此项目的特定的内部报酬率相同。

2.净现值法与利润指数法的比较。由于净现值和利润指数使用的是相同的信息,在评价投资项目的优劣时,它们常常是一致的,但有时也会产生分歧。只有当初始投资不同时,净现值和利润指数才会产生差异。由于净现值是用各期现金流量现值减初始投资,而利润指数是用现金流量现值除以初始投资,因此评价的结果可能会产生不一致。

在无资金限量的情况下,利用净现值法在所有的投资评价中都能做出正确的决策。而利用内部报酬率和利润指数在采纳与否决策中也能做出正确的决策,但在互斥选择决策中有时会做出错误的决策。因此在这三种评价方法中,净现值法是最好的评价方法。