二 销售百分比法

二 销售百分比法

(一)基本原理

销售百分比法,是指根据销售增长与资产增长之间的关系,预测未来资金需要量的方法。企业的销售规模扩大时,要相应增加流动资产;如果销售规模增加很多,还必须增加长期资产。为取得扩大销售所需增加的资产,企业需要筹措资金。这些资金,一部分来自留存收益,另一部分通过外部筹资取得。通常,销售增长率较高时,仅靠留存收益不能满足资金需要,即使获利良好的企业也需外部筹资。因此,企业需要预先知道自己的筹资需求,提前安排筹资计划,否则就可能发生资金短缺的问题。

销售百分比法,将反映生产经营规模的销售因素与反映资金占用的资产因素连接起来,根据销售与资产之间的数量比例关系,预计企业的外部筹资需要量。销售百分比法首先假设某些资产与销售额存在稳定的百分比关系,根据销售与资产的比例关系预计资产额,根据资产额预计相应的负债和所有者权益,进而确定筹资需要量。

(二)基本步骤

1.确定随销售额变动而变动的资产和负债项目。资产是资金使用的结果,随着销售额的变动,经营性资产项目将占用更多的资金。同时,随着经营性资产的增加,相应的经营性短期债务也会增加,如存货增加会导致应付账款增加,此类债务称之为“自动性债务”,可以为企业提供暂时性资金。经营性资产与经营性负债的差额通常与销售额保持稳定的比例关系。这里,经营性资产项目包括库存现金、应收账款、存货等项目;而经营性负债项目包括应付票据、应付账款等项目,不包括短期借款、短期融资券、长期负债等筹资性负债。

2.确定经营性资产与经营性负债有关项目与销售额的稳定比例关系。如果企业资金周转的营运效率保持不变,经营性资产与经营性负债会随销售额的变动而呈正比例变动,保持稳定的百分比关系。企业应当根据历史资料和同业情况,剔除不合理的资金占用,寻找与销售额的稳定百分比关系。

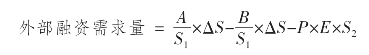
3.确定需要增加的筹资数量。预计由于销售增长而需要的资金需求增长额,扣除利润留存后,即为所需要的外部筹资额。即有:

式中:A——随销售而变化的敏感性资产;

B——随销售而变化的敏感性负债;

S1——基期销售额;

S2——预测期销售额;

ΔS——销售变动额;

P——销售净利率;

E——利润留存率;

A/S1——敏感资产与销售额的关系百分比;

B/S2——敏感负债与销售额的关系百分比。[1]

〔例5-2〕光华公司2018年12月31日的简要资产负债表如表5-1所示。假定光华公司2018年销售额为10 000万元,销售净利率为10%,利润留存率为40%。2019年销售额预计增长20%,公司有足够的生产能力,无须追加固定资产投资。

首先,确定有关项目及其与销售额的关系百分比。在表5-1中,N为不变动,是指该项目不随销售的变化而变化。

其次,确定需要增加的资金量。从表中可以看出,销售收入每增加100元,必须增加50元的资金占用,但同时自动增加15元的资金来源,两者差额还有35%的资金需求。因此,每增加100元的销售收入,公司必须取得35元的资金来源,销售额从10 000万元增加到12 000万元,按照35%的比率可预测将增加700万元的资金需求。

表5-1 光华公司资产负债表(2018年12月31日) 单位:万元

最后,确定外部融资需求的数量。2019年的净利润为1 200万元(12 000×10%),利润留存为40%,则将有480万元利润被留存下来,还有220万元的资金必须从外部筹集。根据光华公司的资料,可求得对外融资的需求量为:

外部融资需求量=50%×2 000-15%×2 000-40%×1 200=220(万元)

销售百分比法的优点,是能为筹资管理提供短期预计的财务报表,以适应外部筹资的需要,且易于使用。但在有关因素发生变动的情况下,必须相应地调整原有的销售百分比。