财务风险与财务杠杆

三 财务风险与财务杠杆

现代企业在生产经营过程中总会发生借入资金。现代企业负债规模一定时,利息总额是不变的。于是,当息税前利润增大时,每元利润负担的利息就会相对地减少,从而使投资者收益提高;当息税前利润减少时,每元利润负担的利息就会相对地提高,从而使投资者收益降低。这种债务对投资者收益的影响,称为财务杠杆。

财务杠杆作用的大小一般用财务杠杆系数衡量。财务杠杆系数是指企业普通股每股收益变动率与息税前利润变动率之比,用于反映息税前利润的变动对普通股每股收益的影响程度。即:

式中:DFL——财务杠杆系数;

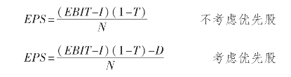
EPS——基期普通股每股利润;

ΔEPS——普通股每股利润变动额。

其他符号同前面一致。

式中:I——利息;

D——优先股股利;

T——所得税税率;

N——发行在外的普通股股数。

当息税前利润发生变动时,固定筹资成本总额保持不变。也就是说,在资本结构一定的条件下,从息税前利润中支付的固定筹资成本是固定的,当息税前利润发生变动时,每一元息税前利润所负担的固定筹资成本就会相应地减少或增加,从而给普通股股东带来一定的财务杠杆损失或收益。

推导公式证明如下:

上述公式说明了I>0或者D>0,是产生财务杠杆效应的基本条件,且I和D与DFL 之间是正方向变动关系。固定筹资成本越大,则DFL 系数越大,每股利润变动对息税前利润变动的敏感程度越高,反映企业的财务风险越大。

〔例6-6〕假设某公司资本来源如下:债券100 000万元,年利率5%,优先股500股,每股面值100元,年股利率7%,该公司的普通股为500股,每股收益8元,所得税率50%。则息税前利润为20 000万元时,财务杠杆系数计算如下:

计算结果表明,当息税前利润增长1倍时,普通股每股收益将增长2.5倍。一般而言,财务杠杆系数越大,企业财务风险越高。

将公式进一步推导,可得:

上式说明,只要存在负债或优先股,财务杠杆系数大于1,即息税前利润增加时,每股收益将更大幅度地增长;当息税前利润减少时,每股收益减少得也更快。因此,公司息税前利润较多、增长幅度较大时,适当利用负债和优先股资金,发挥财务杠杆的作用,可以增加每股收益;反之,公司息税前利润较少时,可减少负债,利息和优先股股息越小,财务风险越小。若企业没有负债和优先股,则DEL=1,说明不存在财务杠杆,财务风险为零。

从上式也可看出其他财务因素对DFL 系数的影响。在其他因素不变的情况下,财务杠杆与息税前利润EBIT反方向变动;在其他因素不变的情况下,财务杠杆与所得税率T正方向变动。

财务杠杆系数主要取决于企业的资本结构,资本结构中如果增加债务资金或者优先股,增加的固定筹资成本就会导致财务杠杆增大。较大的DFL 可以为公司带来较强的每股收益扩张能力。但是,固定筹资成本越大,企业的财务压力就越大,也会降低企业的支付能力,由此引发的财务风险就越大。特别当息税前利润变动后小于企业的固定筹资成本(资产息税前利润率<固定筹资成本率),普通股收益就会低于企业资产的息税前利润率甚至出现亏损的情况。企业可以通过合理安排资本结构,适度负债,使财务杠杆利益抵消风险增大所带来的不利影响。

〔例6-7〕某公司为筹建项目筹资1 000万元,有三个筹资方案可供选择:(1)全部发行普通股;(2)发行普通股500万元,发行债券500万元;(3)发行普通股200万元,发行债券800万元。

假设该公司当前普通股每股50元,预计息税前利润200万元,债券年利率8%,所得税率30%,则每股收益如表6-6所示。

表6-6 不同筹资方案的财务杠杆系数

例6-7中,如果息税前利润分别上升20%、下降20%,则三个方案每股收益如表6-7所示。

表6-7 息税前利润变动情况下每股收益的变动率

需要注意的是,财务杠杆也只是衡量了一种潜在的风险,如果企业的息税前利润水平保持不变,则不会对企业普通股股东的利益带来任何影响。