混合成本的分解

二 混合成本的分解

混合成本即为半变动成本或半固定成本,它既包含了变动的因素,也包含了固定的因素,因而它的性质与总成本的性质相似。实际上,混合成本是成本的一般形式,而变动成本或固定成本是成本的特殊形式。为了管理分析方便起见,人们必须采用适当的方法将其进行分解。假定混合成本的函数关系式为:

y=a+bx

式中:a——固定成本;

b——单位变动成本;

x——业务量;

y——混合成本。

对混合成本的分解方法常用有合同确认法、技术测定法、高低点法、散布图法、回归直线法等。

(一)合同确认法

合同确认法是指根据与其他单位签订的合同中关于支付费用的具体规定来确认成本的固定部分和变动部分的混合成本分解方法。

(二)技术测定法

技术测定法是指根据生产过程中消耗量的技术测定和计算来划分成本的变动部分和固定部分的混合成本分解方法。例如,通过技术测定把热处理电炉的预热耗电成本(初始量)划归固定成本,把预热后进行热处理的耗电成本划为变动成本。

(三)高低点法

高低点法是指以某一时期内的最高点产量的半变动成本与最低点产量的半变动成本之差,除以最高产量与最低产量之差,先计算出单位变动成本的值,然后再据以把半变动成本中的变动部分和固定部分分解出来的一种方法。此方法是历史成本法中最简单的一种。其计算公式为:

注意:相关范围;此方法有偶然性;当高点与低点的业务量不只一个而成本又有相异时,原则是高点取成本大者,低点取成本小者。

(四)散布图法

散布图法也称布点图法,是指将所观察的历史数据在坐标纸上作图,据以确定半变动成本中的固定成本和变动成本各占多少的一种方法。散布图法的基本原理是,以横轴代表产量,以纵轴代表成本,将观察到的半变动成本数据标在坐标图上,绘成各期的成本散布图,然后根据目测,在各成本点之间画出一条反映成本平均变动趋势的直线,其与纵轴的交点即为固定成本,然后再据此计算单位变动成本。

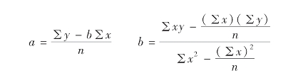
(五)回归直线法

回归直线法亦称最小二乘法,是指根据若干期产量和成本的历史资料,运用最小二乘法公式,将某项半变动成本分解为变动成本和固定成本的方法。运用数理统计中常用的最小平方法的原理,对所观测到的全部数据加以计算,从而勾画出最能代表平均水平的直线。这条通过回归分析而得到的直线就被称为回归直线,它的截距就是固定成本a,斜率就是单位变动成本b。

此方法相对而言比较麻烦,但与高低点法相比,由于选择了包括高低点在内的全部观测数据,因而避免了高低点可能带来的偶然性;与散布图法相比,则是以计算代替了目测方式,所以是一种比较好的混合成本分解方法。