证券组合的风险与报酬

一 证券组合的风险与报酬

(一)两种证券的投资组合

假设两种风险性证券A与B,投资者将一定比重的资金投向于A证券,剩余比重的资金投向于B证券。如果R代表证券可能的投资报酬率,E(R)代表投资报酬率的期望值,δ代表证券的标准离差,下标A、B代表不同的证券,下标P表示证券投资组合各种投资报酬情况出现的概率。则有:

组合的期望报酬率 E(RP)=XQE(RA)+XBE(RB

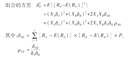
式中:δAB——两种证券的收益的协方差;

ρAB——两证券收益变动的相关系数。

若ρAB=0,表示两证券的收益完全不相关,一种证券收益的变动不会引起另一种证券收益的相连变化;若ρAB=1,表示两证券的收益完全正相关,一种证券收益的变动会引起另一种证券收益的同向同量变化;若ρAB=-1,表示两证券的收益完全负相关,一种证券收益的变动会引起另一种证券收益的反向同量变化。

上两式表明,投资组合的报酬率(即收益)是构成组合各证券报酬率的加权平均数,但投资组合报酬率的标准差(即风险)并不是构成组合各证券标准差的加权平均数。投资组合能够降低投资风险:只要相关系数ρAB≤1,证券投资组合有可能分散组合中的非系统性风险。

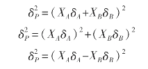
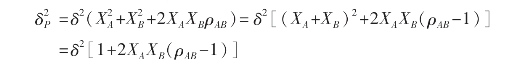
假定两证券的投资风险相等,标准差均为δ,则:

只要ρAB≤1,就有,这表明证券投资组合能降低投资风险。随机地将任何收益非完全正相关的证券组合在一起,都能分散投资风险。

如果ρAB分别取1、0和-1三个数值,则上式转化为:

可见,当相关系数ρ从+1到-1变化时,证券组合的风险逐渐降低;ρ=1时,δP最大,证券组合的风险是各证券风险的加权平均数;ρ=-1时,δP最小。但要使证券组合的风险降低为零,还需要恰当调整投资比例X。

(二)多种证券的投资组合

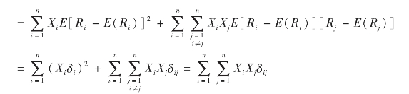
当投资组合由n 种证券构成时,与两种证券构成的投资组合一样,其收益与风险的关系也由各证券之间的相关性来决定。

假设组合中各证券的报酬率为Ri,投向证券的资本比重为Xi,则:

组合的期望报酬率

组合的方差

若定义X=(X1,X2,…,Xn)′,R=[E(R1),E(R2),…,E(Rn)]′,并把各证券报酬率之间的协方差矩阵记为:

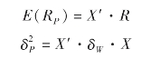
则投资组合P的期望报酬率和方差可表示为:

〔例9-11〕设有A、B和C三种证券,期望报酬率分别为E(RA)=6%,E(RB)=10%,E(RC)=18%。各证券之间的协方差矩阵为:

如果以这三种证券组成证券投资组合P,并且组合P中各证券的比重分别为X1=0.3,X2=0.4,X3=0.3。有:

组合的期望报酬率E(RP)=X′·R=11.2%

组合的方差

分析结论:证券组合的风险δP取决于三类因素:第一,组合中各类证券所占的比重Xi;第二,各种证券本身的风险δi;第三,各种证券收益之间的相关性ρ。