4.1.7 打断
AutoCAD 2014提供的打断功能可以将一个对象打断为两个对象,对象之间可以具有间隙,也可以没有间隙。可以在大多数几何对象上创建打断,但不包括块、标注、多行(多线)和面域等对象。打断命令通常用于为块或文字创建空间。打断命令分为打断和打断于点两种。
执行打断命令的常用方式有以下几种。
●功能区:“默认”→“修改”下拉按钮→“打断”
。
●命令:输入BREAK或者BR。
●AutoCAD经典工作空间,菜单栏:“修改”→“打断”。
通过实例演示打断命令的使用,如图4-56所示。先绘制一条如图类似的线段,长度自定。

图4-56 打断
1)在功能区“默认”选项卡中的“修改”面板区,单击“修改”下拉按钮,单击“打断”
按钮。系统提示“选择对象”,单击选择线段;系统提示“指定第二个打断点或[第一点(F)]”,输入F,按〈Enter〉键。
2)系统提示“指定第一个打断点”,单击选择线段中间某一位置。
3)系统提示“指定第二个打断点”,单击选择线段中间另一位置。
4)完成两点的选择后,便能看到被选中两点之间的线段部分消失,分为两段线段。
下面对各命令进行说明。
●选择对象:完成后,系统将选择对象并将选择点视为第一个打断点,在下一个提示下,可直接指定第二个点,或输入F重新选择第一个点以继续。
●输入F,指定第一个打断点后,系统提示“指定第二个打断点”,此时如果输入“@”,则在指定的第一个打断点处,将选定对象切断为两个对象,不删除某个部分,相当于“打断于点”命令。如果指定第二个打断点,将选定对象在指定的两个断点处断开,并删除两个指定点之间的部分。
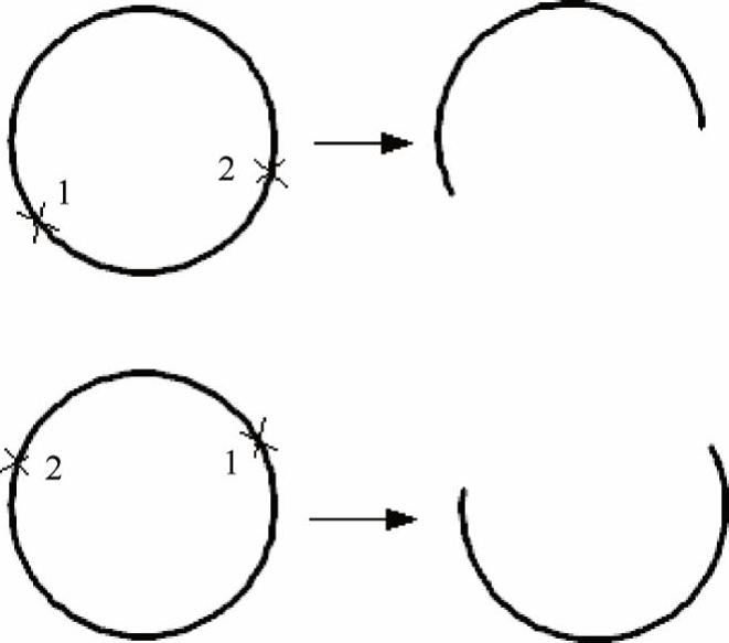
●直线、圆弧、圆、多段线、椭圆、样条曲线、圆环以及其他几种对象类型都可以拆分为两个对象或将其中的一端删除。对于圆,系统将按逆时针方向删除圆上第一个打断点到第二个打断点之间的部分,从而将圆转换成圆弧,如图4-57所示。

图4-57 圆的打断
提示:如果指定点不在对象上,就会自动投影到在对象上与该点最接近的点上,可以在对象附近指定打断点,如图4-58所示。

图4-58 打断指定点的投影