2013年全国硕士研究生入学统一考试试题
一、选择题:第(1)~(8)小题,每小题4分,共32分.下列每题给出的四个选项中,只有一个选项符合题目要求.
(1)当x→0时,用o(x)表示比x高阶的无穷小,则下列式子中错误的是
(A)x·o(x2)=o(x3). (B)o(x)·o(x2)=o(x3).
(C)o(x2)+o(x2)=o(x2).(D)o(x)+o(x2)=o(x2).
[ ]
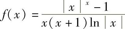
(2)函数
的可去间断点的个数为
(A)0. (B)1. (C)2. (D)3.
[ ]
(3)设Dk是圆域D={(x,y)|x2+y2≤1}位于第k象限的部分,记Ik=
,则
(A)I1>0.(B)I2>0.(C)I3>0.(D)I4>0.
[ ]
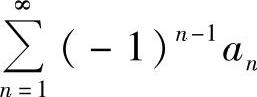
(4)设{an}为正项数列,下列选项正确的是
(A)若an>an+1,则
收敛.
(B)若
收敛,则an>an+1.
(C)若
收敛,则存在常数p>1,使limnpan存在.
n→∞
(D)若存在常数p>1,使limnpan存在,则
n→∞
收敛.
[ ]
(5)设A,B,C均为n阶矩阵,若AB=C,且B可逆,则
(A)矩阵C的行向量组与矩阵A的行向量组等价.
(B)矩阵C的列向量组与矩阵A的列向量组等价.
(C)矩阵C的行向量组与矩阵B的行向量组等价.
(D)矩阵C的列向量组与矩阵B的列向量组等价.
[ ]
(6)矩阵
与
相似的充分必要条件为
(A)a=0,b=2.(B)a=0,b为任意常数.
(C)a=2,b=0.(D)a=2,b为任意常数.
[ ]
(7)设X1,X2,X3是随机变量,且X1~N(0,1),X2~N(0,22),X3~N(5,32),Pj=P(-2≤Xj≤2)(j=1,2,3),则
(A)P1>P2>P3.(B)P2>P1>P3.(C)P3>P1>P2.(D)P1>P3>P2.
[ ]
(8)设随机变量X和Y相互独立,且X和Y的概率分布分别为


则P(X+Y=2)=

[ ]
二、填空题:第(9)~(14)小题,每小题4分,共24分.(https://www.daowen.com)
(9)设曲线y=f(x)与y=x2-x在点(1,0)处有公共切线,则
.
(10)设函数z=z(x,y)由方程(z+y)x=xy确定,则
(11)
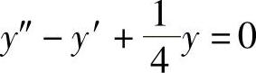
(12)微分方程
的通解为y=____.
(13)设A=(aij)是3阶非零矩阵,|A|为A的行列式,Aij为aij的代数余子式,若aij+Aij=0(i,j=1,2,3),则|A|=____.
(14)设随机变量X服从标准正态分布N(0,1),则E(Xe2X)=____.
三、解答题:第(15)~(23)小题,共94分.解答应写出文字说明、证明过程或演算步骤.
(15)(本题满分10分)
当x→0时,1-cosx·cos2x·cos3x与axn为等价无穷小,求n与a的值.
(16)(本题满分10分)
设D是由曲线
、直线x=a(a>0)及x轴所围成的平面图形,Vx,Vy分别是D绕x轴,y轴旋转一周所得旋转体的体积,若Vy=10Vx,求a的值.
(17)(本题满分10分)
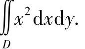
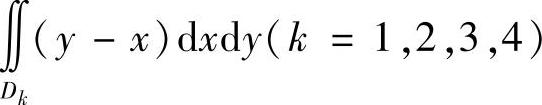
设平面区域D由直线x=3y、y=3x及x+y=8围成,计算
(18)(本题满分10分)
设生产某产品的固定成本为6000元,可变成本为20元/件,价格函数为
(P是单价,单位:元,Q是销量,单位:件),已知产销平衡,求:
(Ⅰ)该商品的边际利润;
(Ⅱ)当P=50时的边际利润,并解释其经济意义;
(Ⅲ)使得利润最大的定价P.
(19)(本题满分10分)
设函数f(x)在[0,+∞)上可导,f(0)=0,且
,证明:
(Ⅰ)存在a>0,使得f(a)=1;
(Ⅱ)对(Ⅰ)中的a,存在ξ∈(0,a),使得
(20)(本题满分11分)
设
,当a,b为何值时,存在矩阵C使得AC-CA=B,并求所有矩阵C.
(21)(本题满分11分)
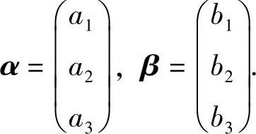
设二次型f(x1,x2,x3)=2(a1x1+a2x2+a3x3)2+(b1x1+b2x2+b3x3)2,
记
(Ⅰ)证明二次型f对应的矩阵为2ααT+ββT;
(Ⅱ)若α、β正交且均为单位向量,证明f在正交变换下的标准形为2y21+y22.
(22)(本题满分11分)
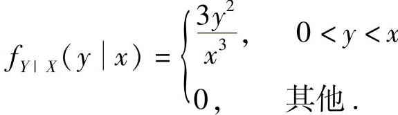
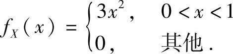
设(X,Y)是二维随机变量,X的边缘概率密度为
,在给定X=x(0<x<1)的条件下,Y的条件概率密度为
,
(Ⅰ)求(X,Y)的概率密度f(x,y);
(Ⅱ)求Y的边缘概率密度fY(y);
(Ⅲ)求P(X>2Y).
(23)(本题满分11分)
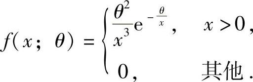
设总体X的概率密度为
其中θ为未知参数且大于零,X1,X2,…,Xn为来自总体X的简单随机样本.
(Ⅰ)求θ的矩估计量;
(Ⅱ)求θ的最大似然估计量.