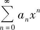
6.2 幂级数的和函数的计算方法
2026年01月14日
6.2 幂级数
的和函数的计算方法
的和函数的计算方法
幂级数
的和函数可以按以下方法计算:
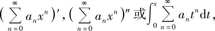
(1)对
进行适当的代数运算(例如,将
的各项同乘以一个常数或xk,或者提出一个常数或xk,这里k为正整数),或作适当的变量代换,使其成为常用函数(指eax,sin ax,cos ax,ln(1+ax),(1+ax)μ,这里a,μ都是常数)的麦克劳林级数,从而求得
的和函数.有时将
表示成几个幂级数之和,然后对每个幂级数都作以上处理,由此算得
的和函数.
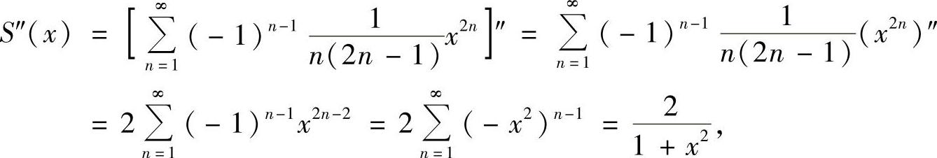
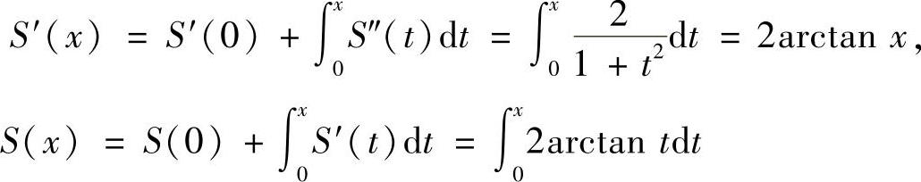
(2)对
在收敛区间内进行求导数或求二阶导数,或求积分,即

使其成为某个常用函数的麦克劳林级数,由此通过积分,二次积分或求导算得
的和函数.
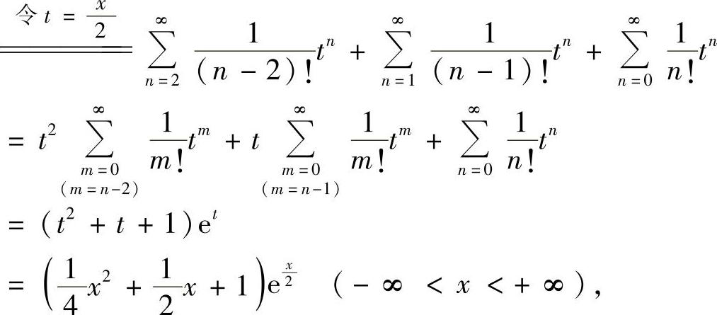
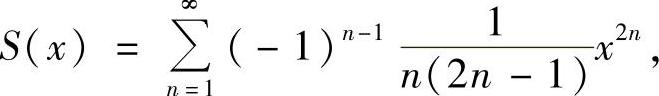
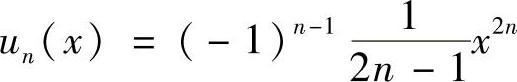
例6.2 求幂级数
的收敛域与和函数.
精解 

所以,所给幂级数的收敛域为(-∞,+∞),和函数
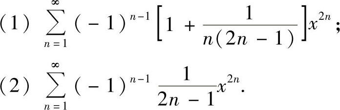
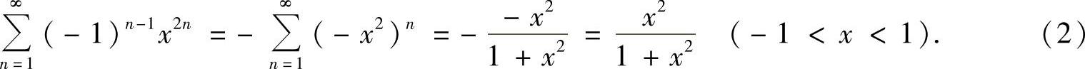
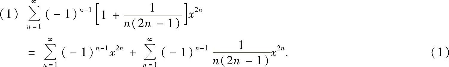
例6.3 求下列幂级数的收敛域与和函数:

精解
显然,
(https://www.daowen.com)
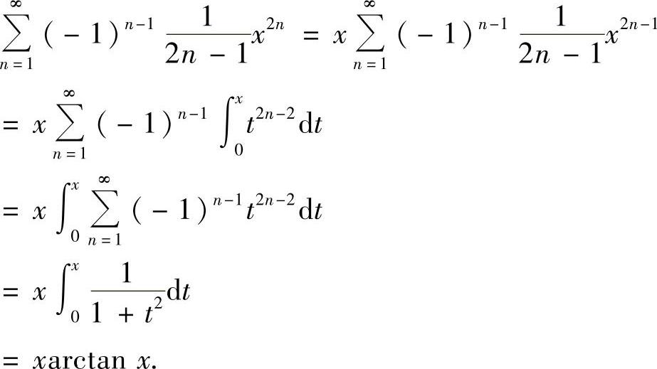
此外,对x∈(-1,1),记

则

所以


将式(2)、式(3)代入式(1)得
(-1<x<1).
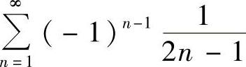
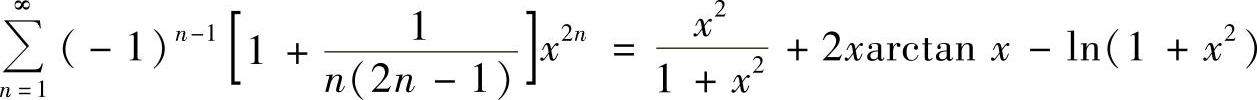
(2)记
,则

所以,所给幂级数的收敛区间为(-1,1).由于x=-1,1时,所给幂级数都为
,收敛.因此收敛域为[-1,1].
对x∈[-1,1],有
