2007年全国硕士研究生入学统一考试试题
一、选择题:第(1)~(10)小题,每小题4分,共40分.在每小题给出的四个选项中,只有一项符合题目要求.
(1)当x→0+时,与
等价的无穷小量是

[ ]
(2)设函数f(x)在x=0处连续,下列命题错∙误∙的是
(A)若
存在,则f(0)=0.
(B)若
存在,则f(0)=0.
(C)若
存在,则f′(0)存在.
(D)若
存在,则f′(0)存在.
[ ]
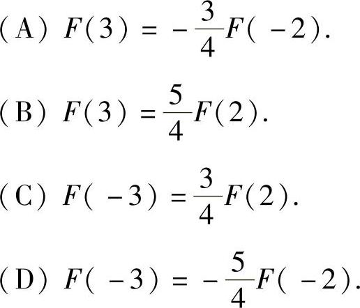
(3)如下图所示,连续函数y=f(x)在区间[-3,-2]、[2,3]上的图形分别是直径为1的上、下半圆周,在区间[-2,0]、[0,2]上的图形分别是直径为2的下、上半圆周.设
,则下列结论正确的是


[ ]
(4)设函数f(x,y)连续,则二次积分
等于

[ ]
(5)设某商品的需求函数为Q=160-2p,其中Q、p分别表示需求量和价格,如果该商品需求弹性的绝对值等于1,则商品的价格是
(A)10.(B)20.(C)30.(D)40.
[ ]
(6)曲线
的渐近线的条数为
(A)0.(B)1.(C)2.(D)3.
[ ]
(7)设向量组α1,α2,α3线性无关,则下列向量组线∙性∙相∙关∙的是
(A)α1-α2,α2-α3,α3-α1.(B)α1+α2,α2+α3,α3+α1.
(C)α1-2α2,α2-2α3,α3-2α1.(D)α1+2α2,α2+2α3,α3+2α1.
[ ]
(8)设矩阵
,
,则A与B
(A)合同,且相似.(B)合同,但不相似.
(C)不合同,但相似.(D)既不合同,也不相似.
[ ]
(9)某人向同一目标独立重复射击,每次射击命中目标的概率为p(0<p<1),则此人第4次射击恰好第2次命中目标的概率为
(A)3p(1-p)2.(B)6p(1-p)2.(C)3p2(1-p)2.(D)6p2(1-p)2.
[ ]
(10)设随机变量(X,Y)服从二维正态分布,且X与Y不相关,fX(x),fY(y)分别表示X,Y的概率密度,则在Y=y的条件下,X的条件概率密度fX|Y(x|y)为

[ ]
二、填空题:第(11)~(16)小题,每小题4分,共24分.把答案填在题中横线上.
(11)
(https://www.daowen.com)
(12)设函数
,则y(n)(0)=____.
(13)设f(u,v)是二元可微函数,
,则
(14)微分方程
满足y|x=1=1的特解为y=____.
(15)设矩阵
,则A3的秩为.
(16)在区间(0,1)中随机地取两个数,则两数之差的绝对值小于
的概率为
.
三、解答题:第(17)~(24)小题,共86分.解答应写出文字说明、证明过程或演算步骤.
(17)(本题满分10分)
设函数y=y(x)由方程ylny-x+y=0确定,试判断曲线y=y(x)在点(1,1)附近的凹凸性.
(18)(本题满分11分)
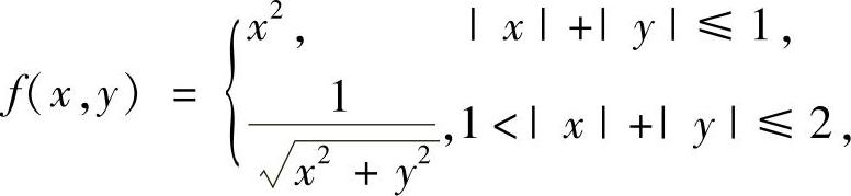
设二元函数

计算二重积分
,其中D={(x,y)|x|+|y|≤2}.
(19)(本题满分11分)
设函数f(x)、g(x)在[a,b]上连续,在(a,b)内二阶可导且存在相等的最大值,又f(a)=g(a),f(b)=g(b).证明:
(Ⅰ)存在η∈(a,b),使得f(η)=g(η);
(Ⅱ)存在ξ∈(a,b),使得f″(ξ)=g″(ξ).
(20)(本题满分10分)
将函数
展开成x-1的幂级数,并指出其收敛区间.
(21)(本题满分11分)
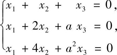
设线性方程组

与方程
x1+2x2+x3=a-1有公共解,求a的值及所有公共解.
(22)(本题满分11分)
设3阶实对称矩阵A的特征值λ1=1,λ2=2,λ3=-2,且α1=(1,-1,1)T是A的属于λ1的一个特征向量.记B=A5-4A3+E,其中E为3阶单位矩阵.
(Ⅰ)验证α1是矩阵B的特征向量,并求B的全部特征值与特征向量;
(Ⅱ)求矩阵B.
(23)(本题满分11分)
设二维随机变量(X,Y)的概率密度为

(Ⅰ)求P(X>2Y);
(Ⅱ)求Z=X+Y的概率密度fZ(z).
(24)(本题满分11分)
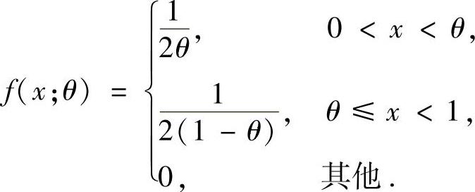
设总体X的概率密度为

其中参数θ(0<θ<1)未知,X1,X2,…,Xn是来自总体X的简单随机样本,X是样本均值.
(Ⅰ)求参数θ的矩估计量θ^;
(Ⅱ)判断
是否为θ2的无偏估计量,并说明理由.