2005年全国硕士研究生入学统一考试试题
一、填空题(本题共6小题,每小题4分,满分24分.)
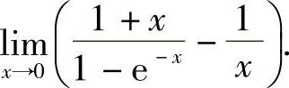
(1)极限
(2)微分方程xy′+y=0满足初始条件y(1)=2的特解为____.
(3)设二元函数z=xex+y+(x+1)ln(1+y),则dz|(1,0)=____.
(4)设行向量组(2,1,1,1),(2,1,a,a),(3,2,1,a),(4,3,2,1)线性相关,且a≠1,则a=____.
(5)从数1,2,3,4中任取一个数,记为X,再从1,…,X中任取一个数,记为Y,则P(Y=2)=____.
(6)设二维随机变量(X,Y)的概率分布为

若随机事件{X=0}与{X+Y=1}相互独立,则a=,b=.
二、选择题(本题共8小题,每小题4分,满分32分.在每小题给出的四个选项中,只有一项是符合题目要求的.)
(7)当a取下列哪个值时,函数f(x)=2x3-9x2+12x-a恰有两个不同的零点?
(A)2.(B)4.(C)6.(D)8.
[ ]
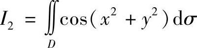
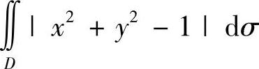
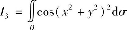
(8)设
,
,
,其中D={(x,y)|x2+y2≤1},则
(A)I3>I2>I1.(B)I1>I2>I3.(C)I2>I1>I3.(D)I3>I1>I2.
[ ]
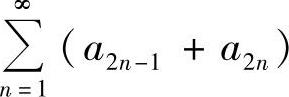
(9)设an>0,n=1,2,….若
发散,
收敛,则下列结论正确的是
(A)
收敛,
发散.(B)
收敛,
发散.
(C)
收敛.(D)
收敛.
[ ]
(10)设f(x)=xsinx+cosx,下列命题中正确的是
(A)f(0)是极大值,
是极小值.
(B)f(0)是极小值,
是极大值.
(C)f(0)是极大值,
也是极大值.
(D)f(0)是极小值,
也是极小值.
[ ]
(11)以下四个命题中,正确的是
(A)若f′(x)在(0,1)内连续,则f(x)在(0,1)内有界.
(B)若f(x)在(0,1)内连续,则f(x)在(0,1)内有界.
(C)若f′(x)在(0,1)内有界,则f(x)在(0,1)内有界.
(D)若f(x)在(0,1)内有界,则f′(x)在(0,1)内有界.
[ ]
(12)设矩阵A=(aij)3×3满足A∗=AT,其中A∗为A的伴随矩阵,AT为A的转置矩阵.若a11,a12,a13为三个相等的正数,则a11为

[ ]
(13)设λ1、λ2是矩阵A的两个不同的特征值,对应的特征向量分别为α1,α2,则α1,A(α1+α2)线性无关的充分必要条件是(https://www.daowen.com)
(A)λ1=0.(B)λ2=0.(C)λ1≠0.(D)λ2≠0.
[ ]
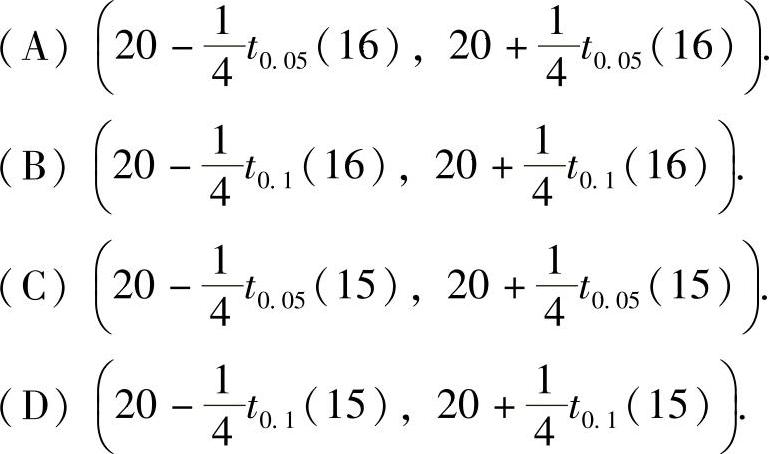
(14)设一批零件的长度服从正态分布N(μ,σ2),其中μ、σ2均未知.现从中随机抽取16个零件,测得样本均值x=20(cm),样本标准差s=1(cm),则μ的置信度为0.90的置信区间是

[ ]
三、解答题(本题共9小题,满分94分.解答应写出文字说明、证明过程或演算步骤.)
(15)(本题满分8分)求
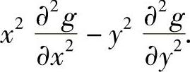
(16)(本题满分8分)
设f(u)具有二阶连续导数,且
,求
(17)(本题满分9分)
计算二重积分
,其中D={(x,y)|0≤x≤1,0≤y≤1}.
(18)(本题满分9分)
求幂级数
在区间(-1,1)内的和函数s(x).
(19)(本题满分8分)
设f(x)、g(x)在[0,1]上的导数连续,且f(0)=0,f′(x)≥0,g′(x)≥0.证明:对任意a∈[0,1],有

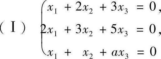
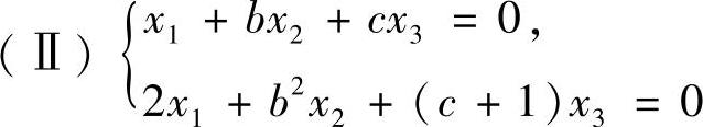
(20)(本题满分13分)
已知齐次线性方程组

和

同解,求a,b,c的值.
(21)(本题满分13分)
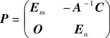
设
为正定矩阵,其中A,B分别为m阶、n阶对称矩阵,C为m×n阶矩阵.
(Ⅰ)计算PTDP,其中
;
(Ⅱ)利用(Ⅰ)的结果判断矩阵B-CTA-1C是否为正定矩阵,并证明你的结论.
(22)(本题满分13分)
设二维随机变量(X,Y)的概率密度为

求:(Ⅰ)(X,Y)的边缘概率密度fX(x),fY(y);
(Ⅱ)Z=2X-Y的概率密度fZ(z);

(23)(本题满分13分)
设X1,X2,…,Xn(n>2)为来自总体N(0,σ2)的简单随机样本,其样本均值为
记
,i=1,2,…,n.
(Ⅰ)求Yi的方差DYi,i=1,2,…,n;
(Ⅱ)求Y1与Yn的协方差Cov(Y1,Yn);
(Ⅲ)若c(Y1+Yn)2是σ2的无偏估计量,求常数c.