6.1  幂级数收敛域的计算方法

6.1 幂级数 978-7-111-46013-8-Part03-259.jpg收敛域的计算方法

收敛域不为{0}的幂级数978-7-111-46013-8-Part03-260.jpg的收敛域可按以下步骤计算:

(1)用以下方法算出978-7-111-46013-8-Part03-261.jpg的收敛区间:如果978-7-111-46013-8-Part03-262.jpg(或978-7-111-46013-8-Part03-263.jpg)存在为ρ,则当ρ≠0时,978-7-111-46013-8-Part03-264.jpg的收敛区间为978-7-111-46013-8-Part03-265.jpg;当ρ=0时,978-7-111-46013-8-Part03-266.jpg的收敛区间为(-∞,+∞).如果978-7-111-46013-8-Part03-267.jpg(或978-7-111-46013-8-Part03-268.jpg)不存在(例如978-7-111-46013-8-Part03-269.jpg是缺项幂级数)时,将978-7-111-46013-8-Part03-270.jpg理解成978-7-111-46013-8-Part03-271.jpg(其中对n=0,1,2,…,unx)不恒为零),然后计算978-7-111-46013-8-Part03-272.jpg(或978-7-111-46013-8-Part03-273.jpg),如果它们为ρx),则收敛区间为{x)<1}.

(2)由收敛区间计算收敛域:

978-7-111-46013-8-Part03-274.jpg的收敛区间为(-∞,+∞)时,收敛域也为(-∞,+∞).

978-7-111-46013-8-Part03-275.jpg的收敛区间为(-RR)(R>0)时,考虑978-7-111-46013-8-Part03-276.jpg在点x=-RR处的收敛性,将其中的收敛点并入收敛区间即得收敛域.

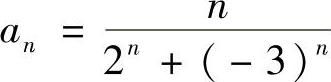
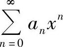
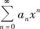
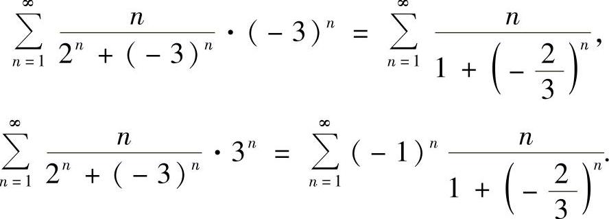
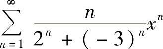
例6.1 求幂级数978-7-111-46013-8-Part03-277.jpg的收敛域.

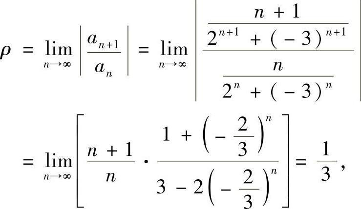
精解 记978-7-111-46013-8-Part03-278.jpg,则

978-7-111-46013-8-Part03-279.jpg

所以,所给幂级数的收敛区间为978-7-111-46013-8-Part03-280.jpg

x=-3,3时,所给幂级数分别为

978-7-111-46013-8-Part03-281.jpg

由于这两个级数的通项都不为零,所以发散.因此所给幂级数的收敛域为(-3,3).