二阶常系数线性微分方程的求解
设二阶常系数线性微分方程
y″+py′+qy=f(x) (p,q是常数,f(x)是已知函数).(∗)它对应的齐次线性微分方程为
y″+py′+qy=0.(∗∗)
(∗∗)的通解Y可按它的特征方程r2+pr2+q=0计算.
当f(x)是Pl(x)eαx,或eαx[Pm(x)cosβx+Qn(x)sinβx](其中Pl(x),Pm(x),Qn(x)分别是l,m,n次多项式),或它们的线性组合时,则可按有关公式算出式(∗)的一个特解y∗.此时式(∗)的通解为
y=Y+y∗.
例7.1 求微分方程y″+a2y=sinx的通解,其中a>0.
精解 所给的常系数线性微分方程对应的齐次线性微分方程的特征方程为
r2+a2=0,(1)
故有特征根r=-ia,ia.从而齐次线性微分方程的通解为
Y=C1cosax+C2sinax.
下面计算所给微分方程的特解.由于所给微分方程的右端sinx=e0x[0·cos(1·x)+1·sin(1·x)],所以应分以下两种情形计算所给微分方程的特解y∗:
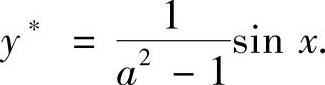
当a≠1时,0+1×i=i不是特征方程(1)的根,所以
y∗=Acos x+Bsin x.
将它代入所给的微分方程得A=0,
,所以此时
当a=1时,0+1×i=i是特征方程(1)的根,所以
y∗=x(A1cos x+B1sin x).
将它代入所给的微分方程得
,B1=0,所以此时
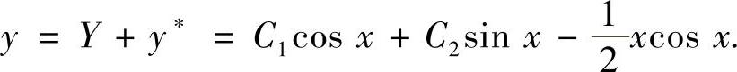
于是,当a≠1时,所给微分方程的通解为

当a=1时,所给微分方程的通解为

例7.2 设函数y=y(x)在(-∞,+∞)上具有二阶导数,且y′≠0,x=x(y)是y=y(x)的反函数,它满足微分方程

求满足y(0)=0,
的解y=y(x).(https://www.daowen.com)
精解 所给微分方程不是常系数的,因此将y看做未知函数,x看做自变量,改变这个微分方程.

将它代入所给微分方程得

即 
式(1)对应的齐次线性微分方程有通解
Y=C1ex+C2e-x.
此外,式(1)有特解y∗=Acosx+Bsinx.将它代入式(1)得A=0,
,所以
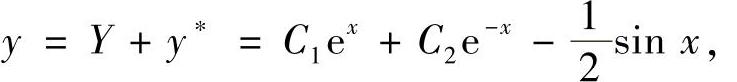
因此式(1)的通解为

且 
于是,由y(0)=0,
得C1=1,C2=-1.因此满足y(0)=0,
的微分方程的解为

例7.3 求满足下列方程的可微函数f(x):

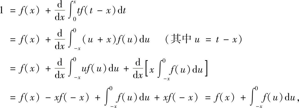
精解 为消去积分运算,所给方程两边对x求导得

即 
两边对x求导得
f′(x)=-f(-x),(2)且 f′(-x)=-f(x),于是有 f″(x)=f′(-x)=-f(x),即f″(x)+f(x)=0.(3)故f(x)满足二阶常系数齐次线性微分方程(3),它的通解为
f(x)=C1cos x+C2sin x, 且 f′(x)=-C1sin x+C2cos x.
将f(0)=1(由式(1)得到)和f′(0)=-1(由式(2)得到)代入以上两式得
C1=1,C2=-1,所以
f(x)=cos x-sin x.