2006年全国硕士研究生入学统一考试试题精解
一、填空题
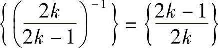
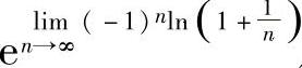
(1)分析 将所给极限改写为
后再计算.
精解 由于

其中,由于(-1)n=1,
,(n→∞),所以

从而

附注 本题也可解答如下:
因为数列
由两个子数列
与
组成,它们的极限都为1,所以

(2)分析 算出f‴(x)后用x=2代入即得f‴(2).
精解 由于
f″(x)=[ef(x)]′=ef(x)f′(x)=e2f(x),
f‴(x)=[e2f(x)]′=e2f(x)·2f′(x)=2e3f(x),
所以
f‴(2)=2e3f(2)=2e3.
附注 题中f(x)的三阶可导性是如下推得的:
由于f(x)在点x=2的某个邻域内可导,所以由f′(x)=ef(x)知,f(x)在这个邻域内二阶可导,同样可以推出f(x)在这个邻域内三阶可导.
(3)分析 利用微分形式不变性计算dz|(1,2).
精解 由于
dz=df(4x2-y2)=f′(4x2-y2)d(4x2-y2)
=f′(4x2-y2)(8xdx-2ydy),
所以
dz|(1,2)=f′(0)(8·1·dx-2·2·dy)
=4dx-2dy.
附注 本题也可按公式
计算.
由于

所以
dz|(1,2)=4dx-2dy.
(4)分析 按|MN|=|M|·|N|(其中M,N都是n阶矩阵)计算.
精解 所给算式可以改写成
B(A-E)=2E,
所以,|B|A-E=4,其中

因此 
附注 关于n阶矩阵的行列式有以下性质(应熟记):
设A,B都是n阶矩阵,则
(ⅰ)|kA|=kn|A|(k为常数).
(ⅱ)|AT|=|A|.
(ⅲ)|AB|=|A|B|.
(ⅳ)设A是可逆矩阵,则
(ⅴ)当n≥2时,|A∗|=|A|n-1.

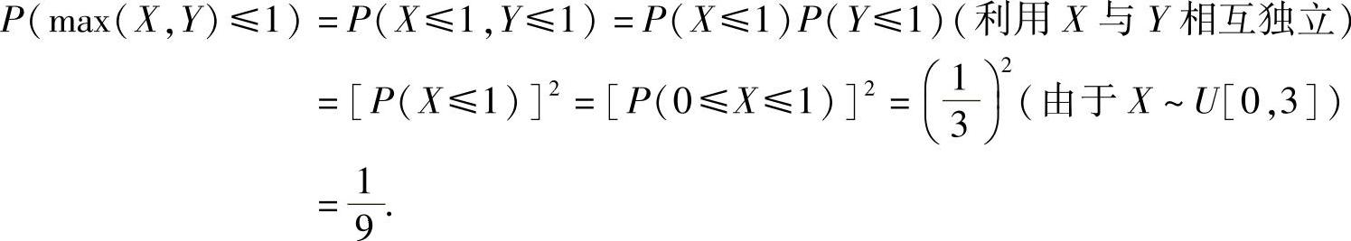
(5)分析 利用{max(X,Y)≤1}={X≤1,Y≤1}计算欲求的概率.
精解 
附注 顺便计算概率P(min{X,Y}≤1):

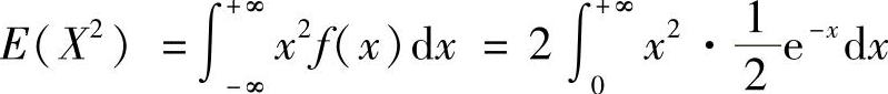
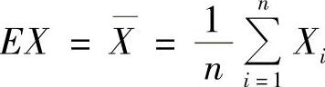
(6)分析 由于E(S2)=DX,所以只要算出总体方差即可.
精解 E(S2)=DX=E(X2)-(EX)2,(1)
其中


将它们代入式(1)得
E(S2)=2.
附注 应当记住以下结论:
设X1,X2,…,Xn是来自总体X(EX与DX都存在)的简单随机样本,记样本均值为
,样本方差为
,则

二、选择题
(7)分析 画出y=f(x)的概图,然后按Δy,dy的几何表示选择正确选项.
精解 由f′(x)>0和f″(x)>0可得函数y=f(x)的概图如图B.06.1所示,其中MT是曲线y=f(x)在点M(x0,f(x0))处的切线.于是当Δx>0时,

由图可知,0<dy<Δy.
因此本题选(A).

图 B.06.1
附注 本题是利用Δy与dy的几何解释获解的,也可以用分析方法求解,具体如下:
当Δx>0时,有

(8)分析 先利用函数f(x)在点x=0处连续及
推出f(0)的值,再利用左、右导数的定义和
推出左导数或右导数存在.
精解 由函数f(x)在点x=0处连续,所以由
知
;其次,
因此本题选(C).
附注 应记住以下结论:
(ⅰ)如果函数φ(x)在点x=0处连续,且
,则φ(0)=0,φ′(0)=A.
(ⅱ)如果函数φ(x)在点x=0处连续,且
(或
),则φ(0)=0,φ′+(0)=A(或φ′-(0)=A).
(9)分析 按收敛级数性质判定正确选项.
精解 由级数
收敛知,级数
与
都收敛,所以级数
收敛.
因此本题选(D).
附注 本题题解中应用的收敛级数性质是:
(ⅰ)设
收敛,则
收敛(其中k为常数).
(ⅱ)设
与
都收敛,则
收敛.
(10)分析 根据一阶线性微分方程解的构造即可获得正确选项.
精解 由于y1(x)-y2(x)是对应齐次线性微分方程y′+P(x)y=0的非零解,所以它的通解为C[y1(x)-y2(x)],从而原微分方程的通解为y1(x)+C[y1(x)-y2(x)].
因此本题选(B).
附注 一阶线性微分方程y′+P(x)y=Q(x)的通解为

其中y∗是所给一阶线性微分方程的特解,Y是对应的齐次线性微分方程y′+P(x)y=0的通解.
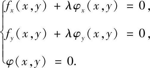
(11)分析 用二元函数条件极值的拉格朗日乘数法判定正确选项.
精解 函数f(x,y)在约束条件φ(x,y)=0下的极值点可用拉格朗日乘数法求解.故作拉格朗日函数
F(x,y)=f(x,y)+λφ(x,y),
则(x0,y0)满足:
即 
其中λ0是对应(x0,y0)的λ值.消去上式中的λ0得
fx(x0,y0)φy(x0,y0)-fy(x0,y0)φx(x0,y0)=0.
由此可知,当fx(x0,y0)≠0时,由于φy(x0,y0)≠0必有fy(x0,y0)≠0.
因此本题选(D).
附注 设f(x,y),φ(x,y)都是可微函数,则f(x,y)在约束条件φ(x,y)=0下的极值点(x0,y0)满足方程组

但满足上述方程组的点(x0,y0),未必是函数f(x,y)在约束条件φ(x,y)=0下的极值点,只是可能极值点.
(12)分析 由于α1,α2,…,αs是抽象的向量组,所以其线性相关性的判定应从定义入手.
精解 先考虑选项(A)的正确性.
由向量组α1,α2,…,αs线性相关知,存在一组不全为零的数k1,k2,…,ks,使得
k1α1+k2α2+…+ksαs=0.
从而存在一组不全为零的数k1,k2,…,ks,使得
k1Aα1+k2Aα2+…+ksAαs=A(k1α1+k2α2+…+ksαs)=0.
所以,向量组Aα1,Aα2,…,Aαs线性相关.
因此本题选(A).
附注 这里顺便指出,当向量组α1,α2,…,αs线性无关时,向量组Aα1,Aα2,…,Aαs未必线性无关,也未必线性相关,即Aα1,Aα2,…,Aαs的线性相关性与A有关.
(13)分析 写出初等变换对应的初等矩阵即可.
精解 由题意得

这是由于
因此本题选(B).
附注 应记住m×n矩阵A的每个初等变换对应的初等矩阵.
A的每个初等行变换所对应的初等矩阵是对m阶单位矩阵作相应的初等行变换而成的矩阵;A的每个初等列变换所对应的初等矩阵是对n阶单位矩阵作相应的初等列变换而成的矩阵.
每个n阶初等矩阵都是可逆矩阵,其逆矩阵是对n阶单位矩阵施以与此初等矩阵对应的初等变换的逆变换(例如,交换第i行与第j行的逆变换是交换第i行与第j行,第i行乘上不为零的常数c的逆变换是第i行乘上
;第i行乘以常数k加到第j行的逆变换是第i行乘以-k加到第j行.对初等列变换也有同样的说法).
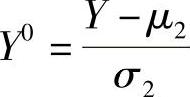
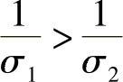
(14)分析 引入随机变量X,Y的标准化随机变量即可判定正确选项.
精解 记
,
,则标准化随机变量X0与Y0都服从标准正态分布N(0,1).于是有

所以,
,即σ1<σ2.
因此本题选(A).
附注 对于服从正态分布N(μ,σ2)的随机变量X,在考虑它的有关概率问题时,总需将它变成标准化随机变量,即引入
,则X0~N(0,1).
三、解答题
(15)分析 (Ⅰ)对固定的x>0,计算
.
(Ⅱ)由(Ⅰ)算得的g(x),计算∞-∞型未定式极限
精解 (Ⅰ)对x>0有


附注 (Ⅱ)的解答中有两点值得注意:
(ⅰ)
是∞-∞型未定式极限,利用通分将其化为
型未定式极限.
(ⅱ)由于
的分子的等价无穷小不易找到,所以使用洛必达法则计算.
本题的有关计算方法见提高篇01.(https://www.daowen.com)
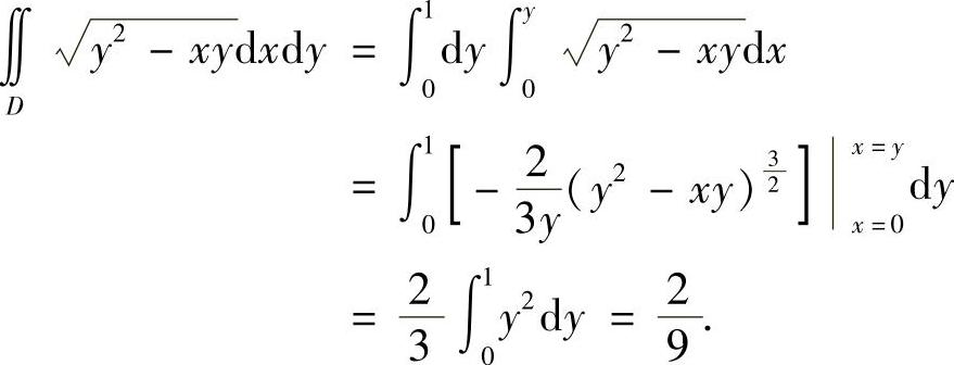
(16)分析 画出积分区域D的概图,然后按“先x后y”方法计算所给的二重积分.
精解 积分区域D如图B.06.2的阴影部分所示,由于被积函数
关于x容易积分,所以采用“先x后y”的方法,则

附注 本题也可按“先y后x”的方法计算,但计算起来比较复杂.

图 B.06.2
本题的有关内容及计算方法见提高篇12.
(17)分析 只要证明f(x)=xsinx+2cosx+πx在(0,π)上是单调增加函数即可.
精解 由于f(x)在(0,π)上二阶可导且对x∈(0,π)有
f′(x)=sinx+xcosx-2sinx+π
=-sinx+xcosx+π,
f″(x)=-cosx+cosx-xsinx=-xsinx<0,所以,f′(x)在(0,π)上单调减少,故有
f′(x)>f′(π)=0 (x∈(0,π)).
从而f(x)在(0,π)上单调增加,特别对0<a<b<π有f(b)>f(a),即
bsin b+2cos b+πb>asin a+2cos a+πa.
附注 当辅助函数f(x)的导数f′(x)符号不易确定时,可考虑计算f″(x),通过它的符号确定f′(x)的符号.
本题的有关内容与证明方法见提高篇05.
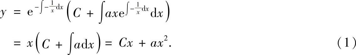
(18)分析 (Ⅰ)设曲线L的方程为y=f(x),由题意列出f(x)的微分方程,求解得L的方程.
(Ⅱ)画出曲线L与直线y=ax所围成的平面图形D的概图,并算出它的面积关于a的表达式,然后由题设确定a的值.
精解 (Ⅰ)设曲线L的方程为y=f(x),则它在点P(x,y)处的切线斜率为
,直线OP在点P的斜率为
.于是由题设得

它的通解为

由于曲线L过点M(1,0),所以将x=1,y=0代入式(1)得
0=C+a,即C=-a.
代入式(1)得曲线L的方程为y=-ax+ax2(a>0).
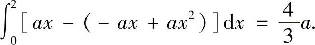
(Ⅱ)由(Ⅰ)算得的L方程知,曲线L与直线y=ax所围成的平面图形D如图B.06.3阴影部分所示,

因此由题设得
,即a=2.
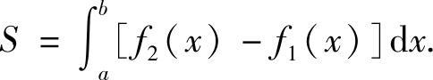
附注 当平面图形G={(x,y)}a≤x≤b,f1(x)≤y≤f2(x)}(其中f1(x),f2(x)是连续函数)时,其面积的计算公式为

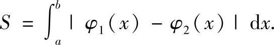
当平面图形G是由曲线y=φ1(x),y=φ2(x)及直线x=a,x=b(a<b)围成时,其面积的计算公式为

图 B.06.3

本题的有关计算方法见提高篇12,15.
(19)分析 (Ⅰ)由于所给幂级数是缺项幂级数,所以将其看做
n=1,2,…).然后用正项级数比值判别法考虑所给幂级数的收敛域.
(Ⅱ)将所给幂级数改写成
,分别求出其中两个幂级数的和函数即可得到所给幂级数的和函数.
精解 (Ⅰ)记
,则

从而,所给幂级数的收敛区间为{x|x2<1}=(-1,1).
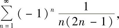
当x=1与-1时,所给幂级数分别成为
与
它们显然都是收敛的,所以所给幂级数的收敛域为[-1,1].
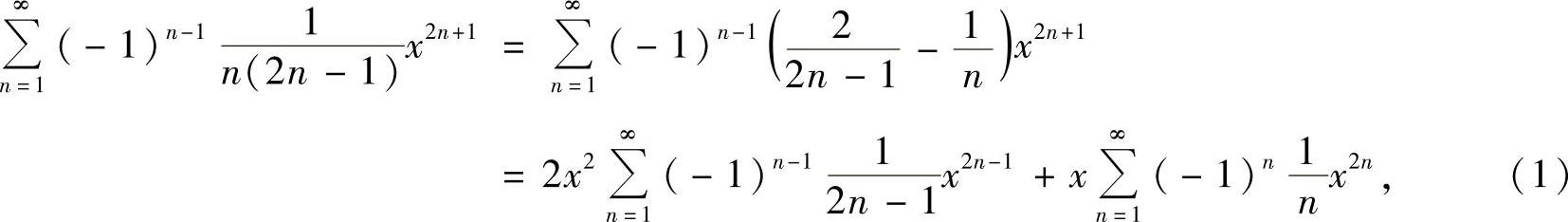
(Ⅱ)为了计算所给幂级数在[-1,1]上的和函数s(x),改写所给幂级数为

其中 

将式(2),式(3)代入式(1)得

所以
s(x)=2x2arctanx-xln(1+x2),x∈[-1,1].
附注 所给幂级数的和函数s(x)也可用以下方法计算:
,则s(x)=xs1(x).
由于对x∈(-1,1)有

所以

因此
s(x)=x[2xarctan x-ln(1+x2)]=2x2arctan x-xln(1+x2)(x∈[-1,1]).
本题的有关内容和计算方法见提高篇13.
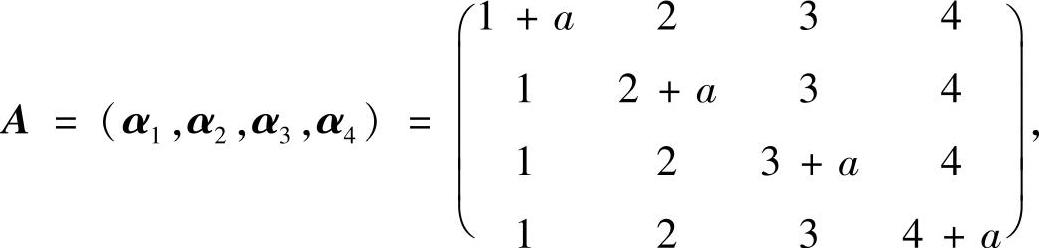
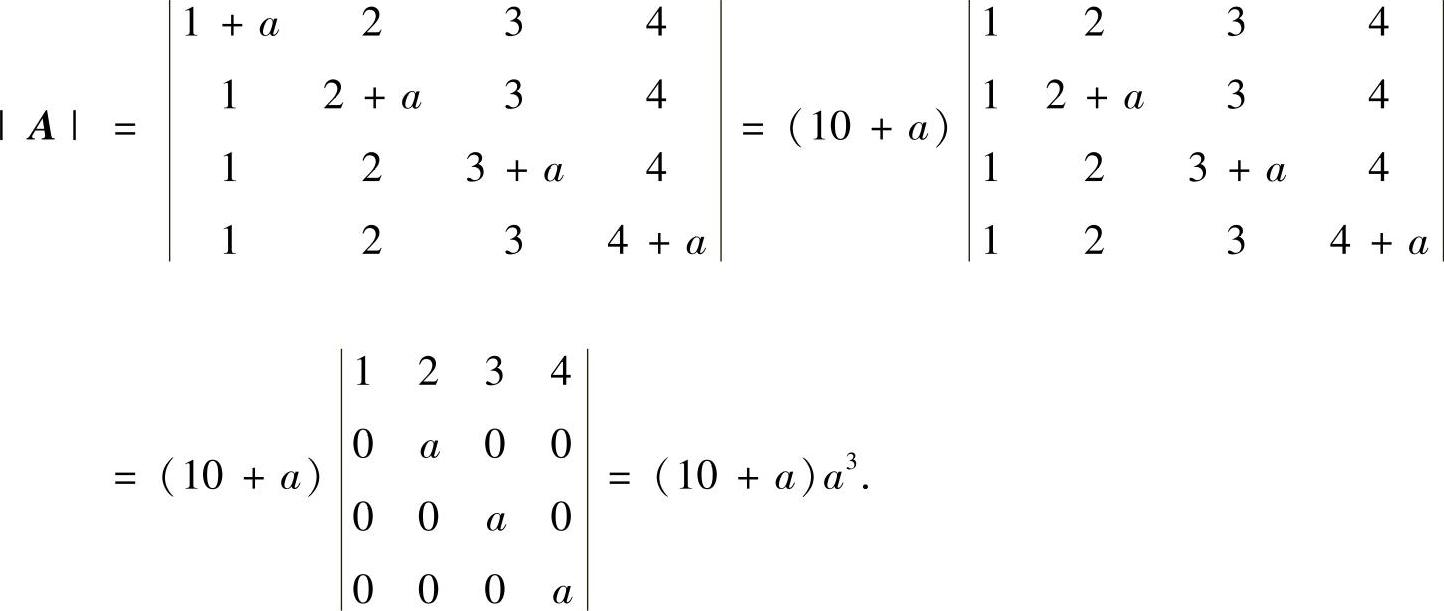
(20)分析 记A=(α1,α2,α3,α4),利用|A|=0确定a的值,然后对此a值,寻找向量组α1,α2,α3,α4的一个极大线性无关组,并将其他向量用该极大线性无关组线性表出.
精解 记

则矩阵A的行列式

于是当a=-10,0时,由|A|=0知向量组α1,α2,α3,α4线性相关.
当a=-10时,
,此时矩阵A有3阶子行列式
,所以α1,α2,α3是向量组α1,α2,α3,α4的一个极大线性无关组,并且α4=-α1-α2-α3.
当a=0时,
,显然α1是向量组α1,α2,α3,α4的一个极大线性无关组,并且α2=2α1,α3=3α1,α4=4α1.
附注 下面计算a=-10时,α1,α2,α3,α4的所有极大线性无关组.
由于此时


由此可知,α1,α2,α3是向量组α1,α2,α3,α4的一个极大线性无关组,此外还有极大线性无关组
α1,α2,α4;α1,α3,α4;α2,α3,α4.
(21)分析 (Ⅰ)由题设可得A的特征值为λ=3,0(二重)及对应的特征向量.
(Ⅱ)将A的特征向量ξ(对应λ=3)和α1,α2(它们都对应λ=0)正交单位化得正交矩阵Q,而
(Ⅲ)由QTAQ=Λ可得A,然后由
计算
精解 (Ⅰ)由于A的各行元素之和均为3,所以有

因此λ=3是A的特征值,它对应的所有特征向量为Cξ=C(1,1,1)T(其中C是任意非零常数).
由于α1,α2是线性方程组Ax=0的两个解,所以有
Aα1=0·α1,Aα2=0·α2.
因此,λ=0是A的(二重)特征值,其对应的所有特征向量为
C1α1+C2α2=C1(-1,2,-1)T+C2(0,-1,1)T(其中C1,C2是不全为零的任意常数).
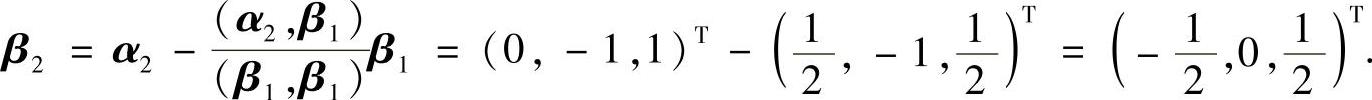
(Ⅱ)由(Ⅰ)可知,A有特征向量ξ,α1,α2,为了计算Q,需将它们正交单位化.
正交化:由于ξ与α1,α2正交,所以只要将α1,α2正交化即可,即
β1=α1,

单位化:
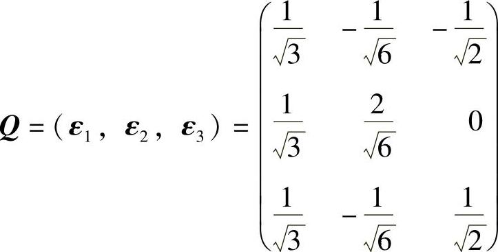
所以,所求的正交矩阵
,对角矩阵
,它们使得QTAQ=Λ成立.
(Ⅲ)由QTAQ=Λ得

由
所以,
附注 将题中的“向量α1=(-1,2,-1)T和α2=(0,-1,1)T是线性方程组Ax=0的两个解”改成“η1、η2是线性方程组Ax=0的两个线性无关解”,同样可解本题(实际上,只要利用η1,η2应与ξ=(1,1,1)T正交即可求出它们).
本题的有关内容及计算方法见提高篇19,20.
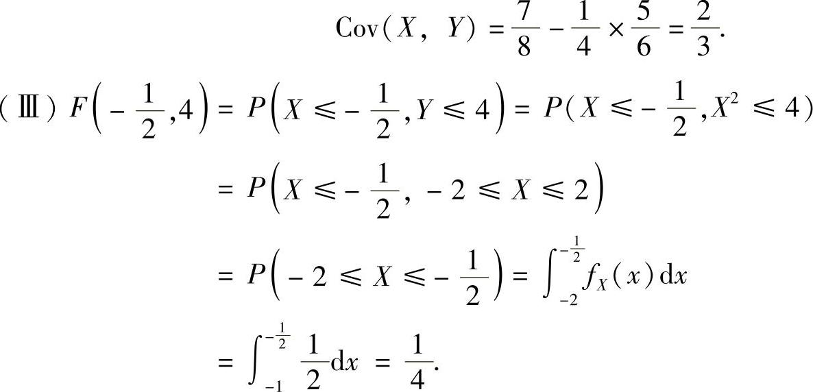
(22)分析 (Ⅰ)先按定义计算随机变量Y的分布函数FY(y),然后求导得到fY(y).
(Ⅱ)按Cov(X,Y)=Cov(X,X2)=E(X3)-EX·E(X2)计算Cov(X,Y).
(Ⅲ)按分布函数的定义计算
的值.
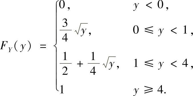
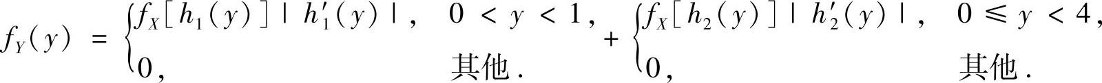
精解 (Ⅰ)由于Y=X2对应的函数为y=x2,它在fX(x)≠0的区间(-1,2)内不是单调函数,所以应从计算Y的分布函数FY(y)入手计算fY(y).
FY(y)=P(Y≤y)=P(X2≤y),(1)
其中,当y<0时,P(X2≤y)=0;
当y≥0时,
由此可知,当0≤y<1时,

当1≤y<4时,

当y≥4时,
将以上计算代入式(1)得

所以

(Ⅱ)Cov(X,Y)=Cov(X,X2)=E(X3)-EX·E(X2),(2)
其中 
将式(3)、式(4)及式(5)代入式(2)得

附注 fY(y)可以用快捷方法计算,具体如下:
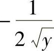
记y=g(x)=x2,则y=g(x)在fX(x)≠0的区间(-1,2)内的单调区间为(-1,0)和(0,2).在(-1,0)内,y=g(x)可导,反函数
,h1′(y)=
;在[0,2)内,y=g(x)可导,反函数
,
所以


本题是综合题,其有关内容及计算方法见提高篇22,24.
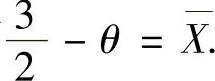
(23)分析 (Ⅰ)计算EX,并令
,即可得到θ的矩估计量.
(Ⅱ)作似然函数L(θ),然后用最大似然估计法计算θ的最大似然估计量.
精解 
令
,即
由此得
所以由矩估计法知,θ的最大矩估计量为
(Ⅱ)似然函数L(θ)=f(x1;θ)f(x2;θ)…f(xn;θ)的最大值只能在0<x1,x2,…,xn<2的区域内取到,所以它可简记为
L(θ)=θN(1-θ)n-N,
即 lnL(θ)=Nlnθ+(n-N)ln(1-θ).
求导得

令
,即
,解此方程得
.所以,由最大似然估计法知,θ的最大似然估计量
附注 θ的最大似然估计量
是无偏的,证明如下:
容易知道,N~B(n,θ),所以

本题的有关内容和计算方法见提高篇26.