2013年全国硕士研究生入学统一考试试题精解
一、选择题
(1)分析 排除三个正确选项即可.
精解 由于
,即x·o(x2)=o(x3)(x→0),

即o(x)·o(x2)=o(x3)(x→0),

即o(x2)+o(x2)=o(x2)(x→∞).
所以选项(A),(B),(C)都正确,应排除.
因此本题选(D).
附注 选项(A),(B),(C)可以作为结论记住,在计算初等函数的带佩亚诺型余项的麦克劳林公式时,常常要用到这些结论.
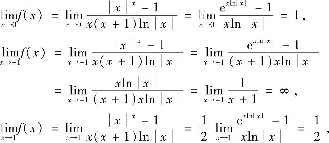
(2)分析 先确定f(x)的间断点,然后从中选择可去间断点,即可得到正确选项.
精解 f(x)的间断点为x=0,-1,1.由于

所以,f(x)有两个可去间断点x=0,1.
因此本题选(C).
附注 可去间断点的定义如下:
设x0是函数的间断点,如果
存在,则称x0是f(x)的可去间断点.
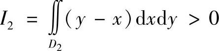
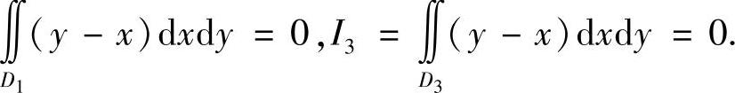
(3)分析 由于在D2上,y-x≥0,所以从考虑I2入手.
精解 由于在D2上,y-x≥0,且仅在点(0,0)处取等号,所以

因此本题选(B).
附注 容易得到I4<0.下面证明I1=I3=0.
由于D1、D3都关于直线y=x对称,而且在对称点处y-x的值互为相反数,所以,

(4)分析 由于
是正项级数,所以可从选项(D)入手考虑.
精解 由于
是正项级数,所以,当存在p>1(此时,正项级数
收敛),使得
存在时,由正项级数比较判别法的极限形式知,
收敛.
因此本题选(D).

比较判别法的极限形式如下:
如果存在正项级数
,且
,则
当
收敛,且0≤l<+∞时,
收敛;
当
发散,且0<l≤+∞时,
发散.
(5)分析 利用两个向量组等价的定义确定正确选项.
精解 记A=(α1,α2,…,αn)(其中α1,α2,…,αn是A的列向量组),C=(γ1,γ2,…,γn)(其中γ1,γ2,…,γn是C的列向量组),B=(bij)n×n,则由AB=C得

即 γ1=b11α1+b21α2+…+bn1αn,
γ2=b12α1+b22α2+…+bn2αn,
︙
γn=b1nα1+b2nα2+…+bnnαn.
由此可知,C的列向量组可由A的列向量组线性表示.
由B可逆得CB-1=A,因此同样可知A的列向量组可由C的列向量组线性表示.由此得到,矩阵C的列向量组与矩阵A的列向量组等价.
因此本题选(B).
附注 两个向量组Ⅰ与Ⅱ等价的定义是:
如果Ⅰ与Ⅱ可相互线性表示,则称Ⅰ与Ⅱ等价.
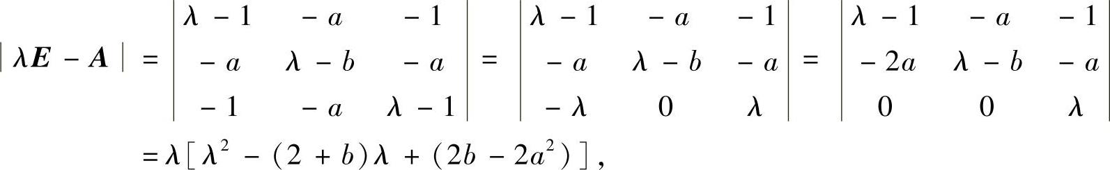
(6)分析 利用两个实对称矩阵相似的充分必要条件是它们有相同的特征多项式,即可得到正确选项.
精解
记
,
,E为三阶单位矩阵,则A,B都是三阶实对称矩阵,且A的特征多项式

而B的特征多项式为λ(λ-2)(λ-b)=λ[λ2-(2+b)λ+2b].
显然λ[λ2-(2+b)λ+(2b-2a2)]=λ[λ2-(2+b)λ+2b]的充分必要条件是2b-2a2
=2b,即a=0,b为任意常数.
从而A~B的充分必要条件是a=0,b为任意常数.
因此本题选(B).
附注 以下结论值得注意:
设A、B都是n阶矩阵,则它们相似的必要而非充分条件是具有相同的特征多项式;
设A、B都是n阶实对称矩阵,则它们相似的充分必要条件是它们具有相同的特征多项式.
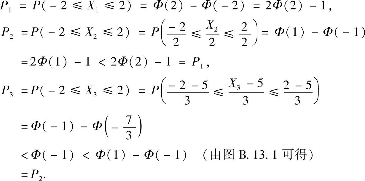
(7)分析 将X2,X3标准化即可得到P1,P2,P3的大小关系.
精解 记标准正态分布函数为Φ(x),则

由此得到P1>P2>P3.

图 B.13.1
因此本题选(A).
附注 计算服从正态分布N(μ,σ2)的随机变量X的有关概率问题时,总是将X标准化:
,则X0~N(0,1).
(8)分析 利用{X+Y=2}={X=1,Y=1}∪{X=2,Y=0}∪{X=3,Y=-1}即可算出概率P(X+Y=2).
精解 由于{X+Y=2}={X=1,Y=1}∪{X=2,Y=0}∪{X=3,Y=-1}且右边三个事件两两互不相容,所以

因此本题选(C).
附注 容易知道(X,Y)的概率分布为

二、填空题
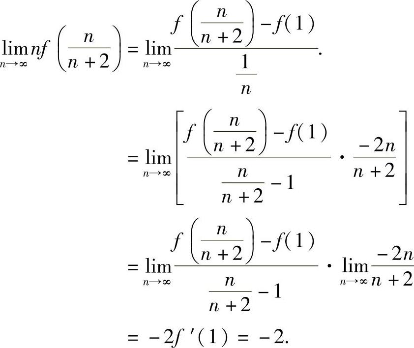
(9)分析 利用f′(1)=(x2-x)′x=1计算
精解 由于曲线y=f(x)与y=x2-x在点(1,0)有公共切线,所以
f′(1)=(x2-x)|′x=1=1,
此外,f(1)=0.于是

附注 本题题解有以下两点值得注意:
(ⅰ)当曲线y=f(x)与y=x2-x在点(1,0)有公共切线时,
f(1)=0,f′(1)=(x2-x)|′x=1=1.

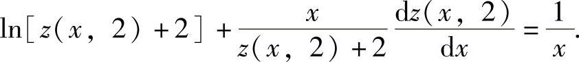
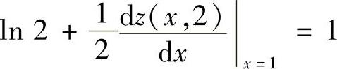
(10)分析 先将y=2代入方程,然后计算关于x的导数在x=1处的值即可.
精解 将y=2代入所给方程,得
[z(x,2)+2]x=2x,即 xln[z(x,2)+2]=ln2+lnx.
上式两边对x求导得

于是 
利用z(1,2)=0(将x=1代入[z(x,2)+2]x=2x)得

所以,
附注 由于本题是计算
,所以可以先将y=2代入所给方程,然后计算隐函数的导数,这样计算快捷些.
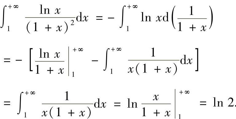
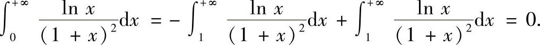
(11)分析 由于所给的广义积分是收敛的,所以可以用分部积分法直接计算.
精解 
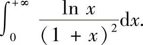
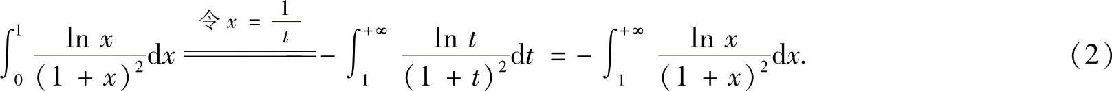
附注 顺便计算
由于
其中,
将式(2)代入式(1)得

(12)分析 算出特征方程的根即得到通解.
精解 所给微分方程是二阶常系数齐次线性微分方程,其特征方程
的根为
,
.所以通解为

附注 应记住二阶或三阶常系数齐次线性微分方程的通解与其特征方程之根的对应关系.
(13)分析 由题设Aij=-aij知A的伴随矩阵A∗=-AT,由此可算得|A|.
精解 由题设Aij+aij=0,得Aij=-aij(i,j=1,2,3),所以

从而由|A∗|=|A|3-1=|A|2得
|-AT|=|A|2,即(-1)3|A|=|A|2.
由此得到|A|=0或-1.
若|A|=0,则-AAT=AA∗=|A|E=O,即A=O,与题设矛盾,故|A|=-1.
附注 对于n阶矩阵A的伴随矩阵A∗,应记住以下常用性质:
(ⅰ)A∗A=AA∗=|A|En(En是n阶单位矩阵);
(ⅱ)A∗=|A|A-1(当A可逆时);(https://www.daowen.com)
(ⅲ)|A∗|=|A|n-1(n>1);
(ⅳ)(λA)∗=λn-1A∗(λ是常数);
(ⅴ)(AT)∗=(A∗)T;
(ⅵ)(AB)∗=B∗A∗(B是n阶矩阵).
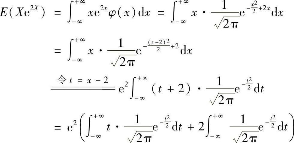
(14)分析 按数学期望定义计算E(Xe2X).
精解 由于X的概率密度为
,所以
(由于奇函数在对称区间上的积分为零,所以
;由于
是概率密度,所以
附注 设随机变量X的概率密度为f(x)(-∞<x<+∞),则
X的数学期望
X的函数g(X)(其中g(x)是连续函数)的数学期望
三、解答题
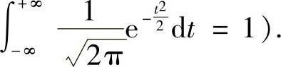
(15)分析 用带佩亚诺型余项的麦克劳林公式寻找x→0时的1-cosx·cos2x·cos3x的等价无穷小,即可算得n与a的值.
精解 由于x→0时,

所以,由题设1-cosx·cos2x·cos3x~axn(x→0)得n=2,a=7.
附注 由于1-cosx·cos2x·cos3x不易利用常用等价无穷小寻找其在x→0时的等价无穷小,故利用带佩亚诺型余项的麦克劳林公式寻找1-cosx·cos2x·cos3x的等价无穷小,比较快捷.
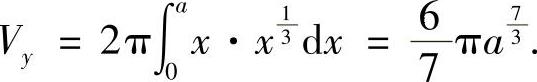
(16)分析 先利用旋转体体积计算公式算出Vx与Vy,然后由题设算出a的值
精解 D={(x,y)
,0≤x≤a}绕x轴旋转一周所得的旋转体体积

D绕y轴旋转一周所得的旋转体体积

于是由题设Vy=10Vx,即
得
附注 应记住以下公式:
设D={(x,y)|0≤f1(x)≤y≤f2(x),a≤x≤b},则D绕x轴旋转一周而成的旋转体体积
;
设D={(x,y)|f1(x)≤y≤f2(x),0≤a≤x≤b},则D绕y轴旋转一周而成的旋转体体积
.
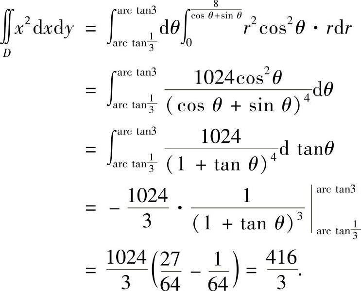
(17)分析 先画出D的图形,然后用极坐标计算所给的二重积分.
精解 D的图形如图B.13.2的阴影部分所示,它是角域的一部分,可用极坐标表示为

所以,

图 B.13.2
附注 由D是角域一部分,所以用极坐标计算所给的二重积分是比较快捷的.
本题的有关计算方法见提高篇12.
(18)分析 写出利润关于价格的函数,即可以求解各个小题.
精解 由题设知利润函数
L(P)=PQ-6000-20Q
=P·1000(60-P)-6000-20·1000(60-P)
=1000(-P2+80P-1206)(P>0)
(Ⅰ)边际利润

(Ⅱ)P=50时的边际利润

它表明,商品价格提高1元,利润就会减少20000元.
(Ⅲ)由于
,
所以使利润最大的定价P=40元/件.
附注 应掌握边际利润的定义、计算公式及经济意义.
(19)分析(Ⅰ)作辅助函数F(x)=f(x)-1,并对其在[0,+∞)上应用零点定理即可.
(Ⅱ)对f(x)在[0,a]上应用拉格朗日中值定理即可
精解 (Ⅰ)记F(x)=f(x)-1,则F(x)在[0,+∞)上连续,且

所以,由连续函数的零点定理(推广形式)知,存在a∈(0,+∞)(即a>0),使得F(a)=0,即f(a)=1.
(Ⅱ)由于f(x)在[0,a]上可导,所以由拉格朗日中值定理知,存在ξ∈(0,a),使得
f′(ξ)(a-0)=f(a)-f(0),即
(这里利用了(Ⅰ)的结论)
附注 连续函数零点定理有各种推广,例如,
(ⅰ)设f(x)在[a,b]上连续,且f(a)f(b)≤0,则存在ξ∈[a,b],使得f(ξ)=0.
(ⅱ)设f(x)在[a,+∞)上连续,且
,则存在ξ∈(a,+∞),使得f(ξ)=0.
本题(ⅰ)是利用(ⅱ)证明的.
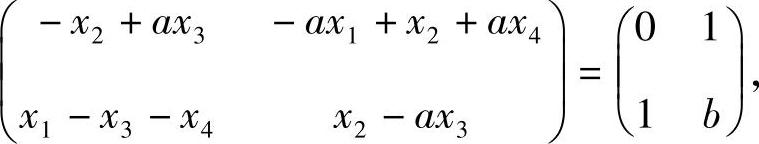
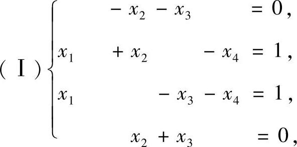
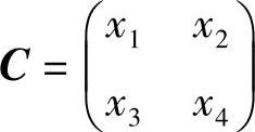
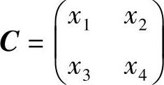
(20)分析 设
,将它代入AC-CA=B转化成四元线性方程组,由该方程组有解算出a,b的值,并解该方程组算出所有的C.
精解 设
,则AC-CA=B成为

即 
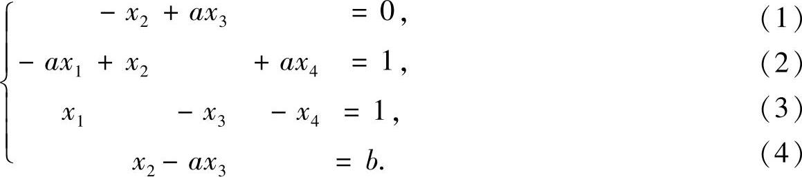
所以,x1,x2,x3,x4满足非齐次线性方程组

由所给的矩阵方程有解知,上述方程组有解,因此
式(1)+式(4)得b=0,
式(1)+式(2)+式(3)·a得1+a=0,即a=-1.
将a=-1,b=0代入式(1)~式(4)得

显然它与方程组

同解.(Ⅱ)的导出组有基础解系(1,-1,1,0)T,(1,0,0,1)T,此外(Ⅱ)有解(1,0,0,0)T,所以(Ⅱ)的通解,即(Ⅰ)的通解为
(x1,x2,x3,x4)T=C1(1,-1,1,0)T+C2(1,0,0,1)T+(1,0,0,0)T
=(C1+C2+1,-C1,C1,C2)T
所以,所有的
(其中C1,C2是任意常数).
附注 本题采用的方法是将矩阵方程转换成线性方程组,这是求解矩阵方程的常用方法.
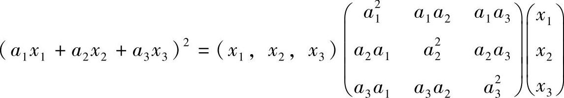
(21)分析 (Ⅰ)将a1x1+a2x2+a3x3=(x1,x2,x3)α,b1x1+b2x2+b3x3=(x1,x2,x3)β代入f(x1,x2,x3),即可证明它的矩阵为2ααT+ββT.
(Ⅱ)当α,β是正交单位向量组时,构造正交矩阵Q,使得在正交变换x=Qy(x=(x1,x2,x3),y=(y1,y2,y3)下,f的标准形为2y21+y22即可.
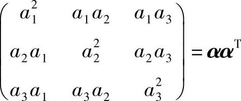
精解 (Ⅰ)由于
,所以二
次型(a1x1+a2x2+a3x3)2的矩阵为
(实对称矩阵),
同样可知,二次型(b1x1+b2x2+b3x3)2的矩阵为
(实对称矩阵),所以二次型f(x1,x2,x3)的矩阵为2ααT+ββT(实对称矩阵).
(Ⅱ)当α,β是正交单位向量组时,必可以找到与α,β都正交的单位向量γ=(c1,c2,c3).记Q=(α,β,γ),则Q是正交矩阵,记
y=QTx(其中x=(x1,x2,x3),y=(y1,y2,y3)),
即
则在正交变换x=Qy下,二次型f(x1,x2,x3)化为标准形2y21+y22,即
附注 (ⅰ)当α=(a1,a2,a3)T时,αTα是数,而ααT是对称矩阵,且

(ⅱ)要熟练掌握二次型化标准形的有关理论与方法.
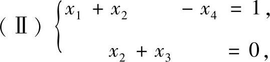
(22)分析 (Ⅰ)利用f(x,y)=fX(x)fY|X(y,x)计算f(x,y).
(Ⅱ)利用(Ⅰ)中算出的f(x,y),由公式
计算fY(y).
(Ⅲ)利用(Ⅰ)中算出的f(x,y),按
计算概率P(X>2Y).
精解 

附注 应熟练掌握二维连续型随机变量(X,Y)的各种概率密度的计算.
由(X,Y)的概率密度f(x,y)计算边缘概率密度fX(x),fY(y)以及条件概率密度.fX(x)≠0时x处的fY|X(y|x),fY(y)≠0时y处的fX|Y(x|y).
此外,由fX(x)与fY|X(y|x)或由fY(y)与fX|Y(x|y)计算f(x,y).
本题的有关内容见提高篇23.
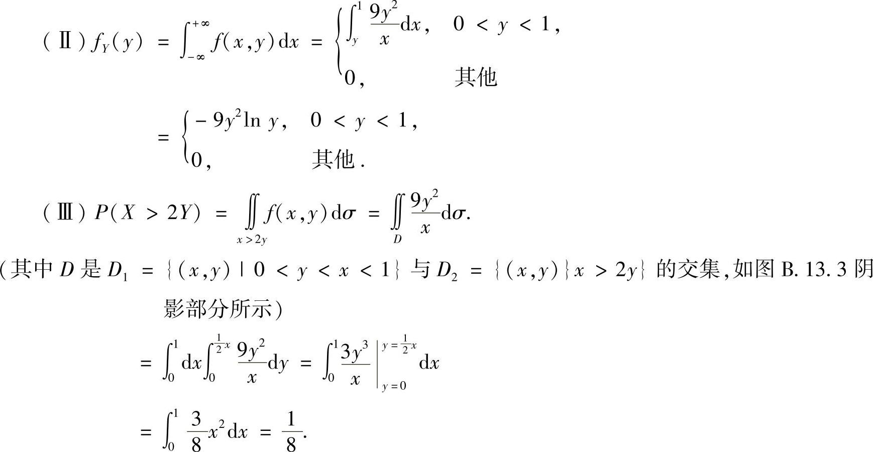
(23)分析 利用矩估计法与最大似然估计法计算θ的矩估计量与最大似然估计量.

图 B.13.3
精解 (Ⅰ)由于
所以,由矩估计法,令
,即
得θ的矩估计量为
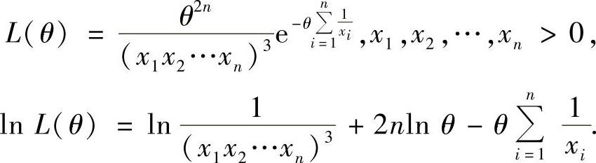
(Ⅱ)记X1,X2,…,Xn的观察值为x1,x2,…,xn,则似然函数为

显然,L(θ)的最大值只能在x1,x2,…,xn>0上取到,所以可简化似然函数为

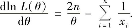
对θ求导得

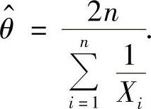
于是由
得θ的最大似然估计值为
,从而θ的最大似然估计量
附注 应熟练掌握总体未知参数的矩估计法与最大似然估计法.