2009年全国硕士研究生入学统一考试试题
一、选择题:第(1)~(8)小题,每小题4分,共32分.下列每题给出的四个选项中,只有一个选项符合试题要求.
(1)函数
的可去间断点的个数为
(A)1.(B)2.(C)3.(D)无穷多个.
[ ]
(2)当x→0时,f(x)=x-sinax与g(x)=x2ln(1-bx)是等价无穷小,则

[ ]
(3)使不等式
成立的x的范围是

[ ]
(4)设函数y=f(x)在区间[-1,3]上的图形为

则函数
的图形为

[ ]
(5)设A,B均为2阶矩阵,A∗,B∗分别为A,B的伴随矩阵.若|A|=2,|B|=3,则分块矩阵
的伴随矩阵为

[ ]
(6)设A,P均为3阶矩阵,PT为P的转置矩阵,且
.若P=(α1,α2,α3),Q=(α1+α2,α2,α3),则QTAQ为

[ ]
(7)设事件A与事件B互不相容,则

[ ]
(8)设随机变量X与Y相互独立,且X服从标准正态分布N(0,1),Y的概率分布为
.记FZ(z)为随机变量Z=XY的分布函数,则函数FZ(z)的间断点个数为
(A)0.(B)1.(C)2.(D)3.
[ ]
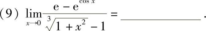
二、填空题:第(9)~(14)小题,每小题4分,共24分.

(10)设z=(x+ey)x,则
(11)幂级数
的收敛半径为.
(12)设某产品的需求函数为Q=Q(p),其对价格p的弹性εp=0.2,则当需求量为10000件时,价格增加1元会使产品收益增加元.(https://www.daowen.com)
(13)设α=(1,1,1)T,β=(1,0,k)T.若矩阵αβT相似于
,则k=____.
(14)设X1,X2,…,Xn为来自二项分布总体B(n,p)的简单随机样本,X和S2分
,则ET=.
三、解答题:第(15)~(23)小题,共94分.解答应写出文字说明、证明过程或演算步骤.
(15)(本题满分9分)
求二元函数f(x,y)=x2(2+y2)+ylny的极值.
(16)(本题满分10分)
计算不定积分
.
(17)(本题满分10分)
计算二重积分
,其中D={(x,y)|(x-1)2+(y-1)2≤2,y≥x}.
(18)(本题满分11分)
(Ⅰ)证明拉格朗日中值定理:若函数f(x)在[a,b]上连续,在(a,b)内可导,则存在ξ∈(a,b),使得f(b)-f(a)=f′(ξ)(b-a).
(Ⅱ)证明:若函数f(x)在x=0处连续,在(0,δ)(δ>0)内可导,且
,则f′+(0)存在,且f′+(0)=A.
(19)(本题满分10分)
设曲线y=f(x),其中f(x)是可导函数,且f(x)>0.已知曲线y=f(x)与直线y=0,x=1及x=t(t>1)所围成的曲边梯形绕x轴旋转一周所得的立体体积值是该曲边梯形面积值的πt倍,求该曲线的方程.
(20)(本题满分11分)
设

(Ⅰ)求满足Aξ2=ξ1,A2ξ3=ξ1的所有向量ξ2,ξ3;
(Ⅱ)对(Ⅰ)中的任意向量ξ2,ξ3,证明:ξ1,ξ2,ξ3线性无关.
(21)(本题满分11分)
设二次型
f(x1,x2,x3)=ax21+ax22+(a-1)x23+2x1x3-2x2x3.
(Ⅰ)求二次型f的矩阵的所有特征值;
(Ⅱ)若二次型f的规范形为y21+y22,求a的值.
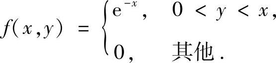
(22)(本题满分11分)
设二维随机变量(X,Y)的概率密度为

(Ⅰ)求条件概率密度fY|X(y|x);
(Ⅱ)求条件概率P(X≤1|Y≤1).
(23)(本题满分11分)
袋中有1个红球、2个黑球与3个白球.现有放回地从袋中取两次,每次取一个球.以X,Y,Z分别表示两次取球所取得的红球、黑球与白球的个数.
(Ⅰ)求P(X=1|Z=0);
(Ⅱ)求二维随机变量(X,Y)的概率分布.