各类随机事件概率的计算
随机事件的概率通常应用以下公式计算:
(1)逆事件概率公式(逆概公式)

(2)加法公式
P(A∪B)=P(A)+P(B)-P(AB),特别当A,B互不相容时,P(A∪B)=P(A)+P(B).
P(A∪B∪C)=P(A)+P(B)+P(C)-P(AB)-P(AC)-P(BC)+P(ABC),特别当A,B,C两两互不相容时,P(A∪B∪C)=P(A)+P(B)+P(C).
(3)减法公式
P(A-B)=P(A)-P(AB),特别当B⊂A时,P(A-B)=P(A)-P(B).
(4)乘法公式

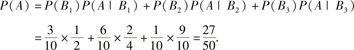
(5)全概率公式
设A1,A2,…,An是与事件B有关的完全事件组,且P(Ai)>0(i=1,2,…,n),则

但是在考题中出现的往往是计算由随机变量表示的随机事件的概率,此时不仅需应用以上的公式,更需要利用随机变量的分布函数、概率分布(或概率密度).
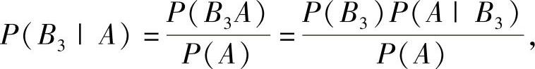
例12.1 有10个相同的罐子,其中有3个罐子都装有1个黑球1个红球,有6个罐子都装有2个黑球2个红球,有1个罐子装有9个红球1个黑球(球除颜色外,其余相同).现任取一个罐子,再从这个罐子中任取一球,结果发现取出的是红球,求这个红球是从装有10个球的罐子中取出的概率.
精解 记 A={任取一球是红球},
B1={任取的罐子是装有2个球的},
B2={任取的罐子是装有4个球的},
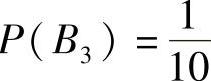
B3={任取的罐子是装有10个球的}.
则要求的概率为

其中,B1,B2,B3是与A有关的完全事件组,且
,
,
,所以由全概率公式得

因此,所求的概率为
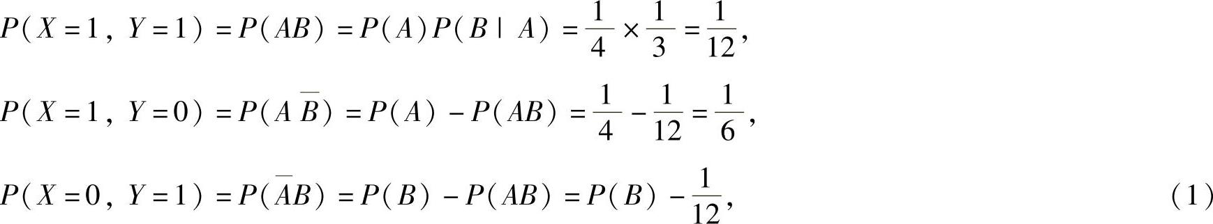
例12.2 设A,B为随机事件,且
,
,
记

求二维随机变量(X,Y)的概率分布.
精解 本题实际上是计算随机事件概率的问题.
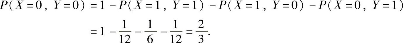
X,Y都只能取0和1两个值,且

其中,由P(AB)=P(B)P(A|B)得
,即
.将它代入式(1)得
(https://www.daowen.com)
此外,
因此,(X,Y)的概率分布为

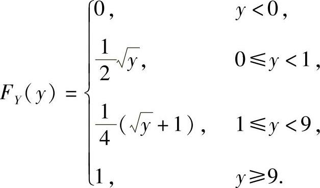
例12.3 设随机变量X~U[-1,3],求随机变量Y=X3的分布函数FY(y).
精解 X的概率密度为
,按定义计算FY(y),所以本题实际
上是计算随机事件概率的问题.
FY(y)=P(Y≤y)=P(X2≤y).下面计算概率P(X2≤y).
当y<0时,P(X2≤y)=P(∅)=0.
当y≥0时,
,于是
当0<y<1时,
;
当1≤y<9时,
;
当y≥9时,
因此
例12.4 计算下列各题:
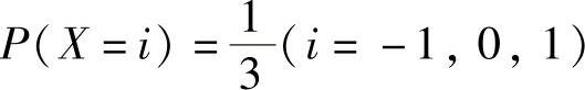
(1)设随机变量X与Y相互独立,X的概率分布为
,Y的概率密度为
记Z=X+Y,求概率
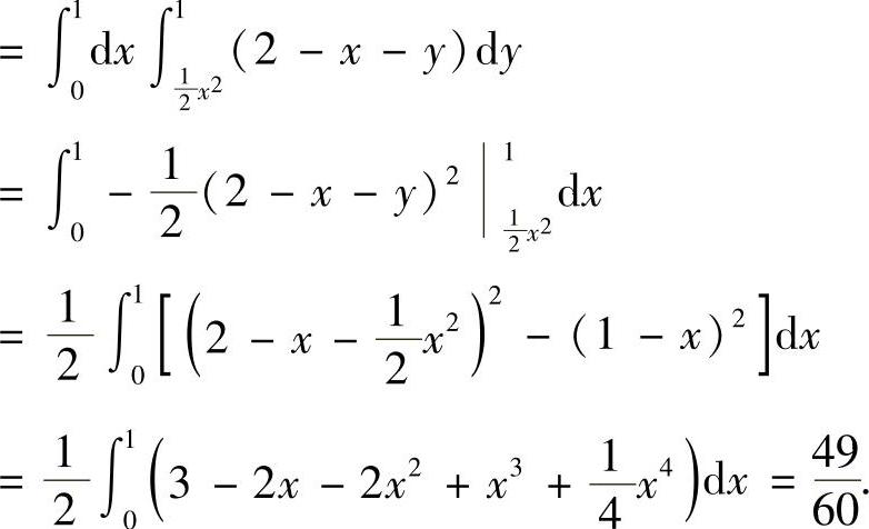
(2)设二维随机变量(X,Y)的概率密度为

求概率
精解 (1)

(2)记D={(x,y)0≤x≤1,0≤y≤1},
,则D∩D1如图C.12.1的阴影部分所示.所以



图 C.12.1
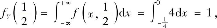
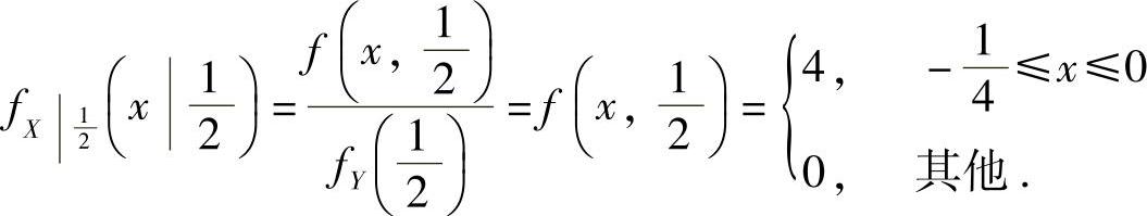
例12.5 设二维随机变量(X,Y)在区域G上服从均匀分布,其中G是由x轴、y轴以及直线y=2x+1围成的三角形.求条件概率
精解 先算出(X,Y)的条件概率密度
为此画出G的图形如图C.12.2阴影部分所示.由于(X,Y)的概率密度

特别地,

图 C.12.2
此外,
所以
,因此
