2010年全国硕士研究生入学统一考试试题精解
一、选择题
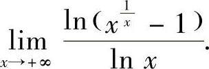
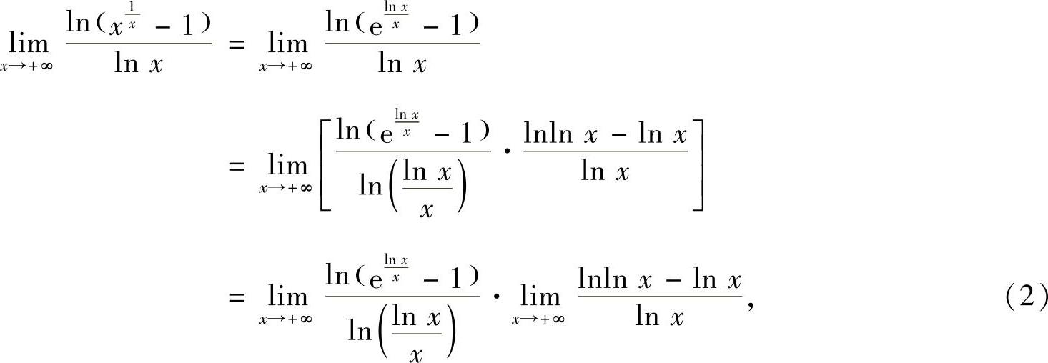
(1)分析 按常用极限公式
计算
,得到关于a的方程,解此方程即可确定正确选项.
精解 由于
,所以由题设得-1+a=1,即a=2.
因此本题选(C).
附注 不仅要记住下面两个重要极限公式:

而且还应记住以下三个常用极限公式:

(2)分析 将λy1+μy2代入y′+p(x)y=q(x),将λy1-μy2代入y′+p(x)y=0即可算出λ,μ的值.
精解 将λy1+μy2代入y′+p(x)y=q(x)得
λ[y1′+p(x)y1]+μ[y2′+p(x)y2]=q(x).(1)由于y1,y2都是y′+p(x)y=q(x)的解,即
y1′+p(x)y1=q(x),y2′+p(x)y2=q(x),
所以,将它们代入式(1),并注意q(x)≠0得
λ+μ=1.(2)
将λy1-μy2代入y′+p(x)y=0,与以上同样计算得
λ-μ=0.(3)
由式(2)、式(3)得 
因此本题选(A).
附注 要记住一阶线性微分方程y′+p(x)y=q(x)的通解公式:

其中的每个不定积分只取相应的原函数.
(3)分析 按函数在驻点处取极大值的充分条件确定正确选项.
精解 由
(由于x0。是可微函数g(x)的驻点,所以g′(x0)=0)知x0是f(g(x))的驻点.
由于
[f(g(x))]″=[f′(g(x))·g′(x)]′=f″(g(x))[g′(x)]2+f′(g(x))g″(x),所以

故f(g(x))在点x0处取极大值的充分条件是
,即f′(a)g″(x0)<0,于是由g″(x)<0知,这个充分条件是f′(a)>0.
因此本题选(B).
附注 f(x)在驻点x0处取极值的充分条件有以下两种:
(ⅰ)在点x0的去心邻域(x0-δ,x0)∪(x0,x0+δ)内,
如果
{,则f(x)在点x0处取极小值;
如果
{,则f(x)在点x0处取极大值.
(ⅱ)如果f″(x0)>0,则f(x)在点x0处取极小值;如果f″(x0)<0,则f(x)在点x0处取极大值.
(4)分析 由于是在x充分大时比较函数f(x),g(x)和h(x)的大小,所以可从计算极限

入手.
精解 由于

所以当x充分大时,f(x)<g(x)<h(x).
因此本题选(C).
附注 应记住,
(5)分析 利用“当向量组Ⅰ可由向量组Ⅱ线性表示时,r(Ⅰ)≤r(Ⅱ)”的结论即可.
精解 先考察选项(A).
当α1,α2,…,αr线性无关时,由α1,α2,…,αr可由β1,β2,…,βs线性表示,得
r=r(α1,α2,…,αr)≤r(β1,β2,…,βs)≤s,
即r≤s.
因此本题选(A).
附注 (ⅰ)应记住分析中所述的结论,它在许多场合下是有用的.
(ⅱ)本题也可以按以下定理直接得到正确选项:
设向量组α1,α2,…,αr可由向量组β1,β2,…,βs线性表示,如果r>s,则向量组α1,α2,…,αr线性相关.
(6)分析 利用实对称矩阵A可相似对角化,从而只要根据题设条件确定A的特征值即可.
精解 由A是四阶实对称矩阵知A可相似对角化,即

其中λ1,λ2,λ3,λ4是A的特征值.由A满足A2+A=0知这些特征值是方程λ2+λ=0的根,于是λ1,λ2,λ3,λ4为0或-1.由于r(A)=3,所以这些特征值中有且仅有一个为0,其余均为-1.
因此本题选(D).
附注 应记住以下两个结论:
(ⅰ)实对称矩阵不仅可以相似对角化,而且还可以正交相似对角化与合同对角化.
(ⅱ)当n阶矩阵A满足f(A)=O(其中f(A)=a0Am+a1Am-1+a2Am-2+…+amEn,En是n阶单位矩阵)时,A的特征值都是方程f(λ)=a0λm+a1λm-1+a2λm-2+…+am=0的根.
(7)分析 利用随机变量X的分布函数F(x)的性质:P(X=a)=F(a)-F(a-),即可算出P(X=a)的值.
精解 由分布函数性质知

因此本题选(C).
附注 本题的随机变量X既不是离散型的(因为y=F(x)的图形不是阶梯形的),也不是连续型的(因为F(x)不是连续函数).
(8)分析 利用概率密度f(x)的性质
及标准正态分布概率密度和均匀分布概率密度的性质确定正确选项.
精解 由f(x)是概率密度得
,即
由于f1(x)是标准正态分布的概率密度,所以

由于f2(x)是[-1,3]上均匀分布的概率密度,所以

将它们代入式(1)得
,即2a+3b=4.
因此本题选(A).
附注 应记住以下结论:
(ⅰ)设X~N(μ,σ2)的概率密度为f(x),则
,特别当μ=0时,有
(ⅱ)设X~U(a,b),则当[c,d]⊆[a,b]时,
二、填空题
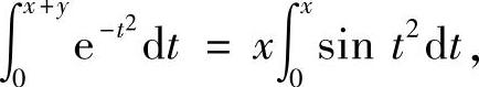
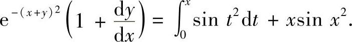
(9)分析 按隐函数求导方法计算
精解 所给方程可写成

上式两边对x求导得

显然,x=0时y=0,将它们代入上式得

附注 对
求导时,首先应把x移到积分号之外.
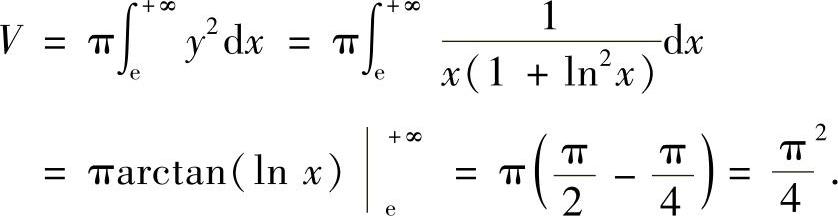
(10)分析 按旋转体体积计算公式计算.
精解 G绕x轴旋转一周所得空间区域的体积为

附注 曲边梯形D={(x,y)|a≤x≤b,0≤y≤f(x)}绕x轴旋转一周而成的旋转体体积
;
当反常积分
收敛时,无界曲边梯形G={(x,y)|a≤x<+∞,0≤y≤f(x)}绕x轴旋转一周而成的旋转体体积
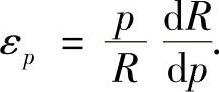
(11)分析 按收益弹性定义计算R(p).
精解 由于
,所以收益弹性
因此由题设得

即 
两边积分得
,即
将R(1)=1代入式(1)得
,即
将它代入式(1)得

附注 设函数f(x)可导,则它在点x处的弹性定义为
,但当f′(x)<0时,应为
题中的收益R(p)是p的增函数,所以有
.因此收益弹性
(12)分析 按(-1,0)是曲线y=x3+ax2+bx+1的拐点的必要条件计算b的值.
精解 由于(-1,0)是曲线y=x3+ax2+bx+1的拐点,所以有
即 
由此得b=3.
附注 点(x0,y0)是曲线y=f(x)的拐点的必要条件是

(13)分析 利用矩阵运算,写出用A-1+B表示A+B-1即可.
精解 由于
A+B-1=A(E+A-1B-1) (E是三阶单位矩阵)
=A(B+A-1)B-1=A(A-1+B)B-1,
所以, 
附注 关于矩阵的行列式的以下结论应记住:
设 A,B都是n阶矩阵,k是常数,则
|kA|=kn|A|,
|AB|=|A||B|,
当A可逆时,
此外, |A∗|=|A|n-1 (n≥2),
|A|=λ1λ2…λn (其中,λ1,λ2,…,λn是A的n个特征值).
(14)分析 按随机变量数学期望性质计算ET.
精解
(X是总体,由题设知X~N(μ,σ2))
=D(X)+(EX)2=σ2+μ2.
附注 实际上,T是X21,X22,…,X2n(理解成来自总体X2的简单随机样本)的均值,所以由样本均值的数学期望等于总体数学期望,可直接得到ET=E(X2).
三、解答题
(15)分析 所给极限是0∞型未定式极限,先将函数指数化,然后计算
型未定式极限
精解 
由于

其中 


将式(3)、式(4)代入式(2)得

将它代入式(1)得

附注 题解中证明了
.现可把它推广为
(其中正值函数α(x)满足
).
本题的有关计算方法见提高篇01.
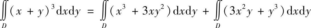
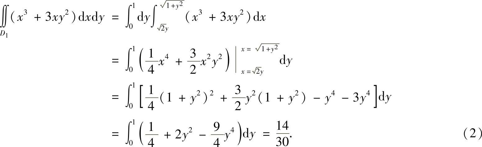
(16)分析 D如图B.10.1的阴影部分所示,它关于x轴对称,所以先用对称性化简所给的二重积分.
精解 

(1)
这是由于D关于x轴对称,x3+3xy2在对称点处的值彼此相等,所以
,其中
,0≤y≤1}.3x2y+y3在对称点处的值互为相反数,所以

图 B.10.1(https://www.daowen.com)

将式(2)代入式(1)得

附注 本题的计算有两点值得注意:
(ⅰ)在计算二重积分之前,应根据D的对称性化简二重积分.
(ⅱ)虽然D1是角域的一部分,但使用极坐标计算是复杂的.
本题的有关内容及计算方法见提高篇12.
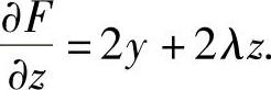
(17)分析 用拉格朗日乘数法计算u的最值.
精解 作拉格朗日函数
F(x,y,z)=xy+2yz+λ(x2+y2+z2-10),
则
,
,
于是由
得 
将式(1)代入式(3)得
z=2x (这里利用λ≠0),(5)
将式(5)代入式(2)得
5x+2λy=0.(6)
式(1)·y-式(6)·x得 y2-5x2=0,即

将式(5)、式(7)代入式(4)得 x=±1.从而,u在约束条件x2+y2+z2=10下的可能极值点为
和
由于
,
,所以u在约束条件x2+y2+z2=10下的最大值为
,最小值为
附注 (ⅰ)要熟练掌握用拉格朗日乘数法计算二、三元函数的条件极值.
(ⅱ)题解中应注意,F(x,y,z)=xy+2yz+λ(x2+y2+z2-10)的λ≠0.
本题的有关计算方法见提高篇11.
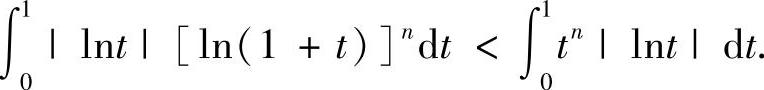
(18)分析 (Ⅰ)由于两个定积分的积分区间相同,所以只要比较(0,1)内[ln(1+t)]n与tn(n=1,2,…)的大小即可.
(Ⅱ)利用(Ⅰ)的结论和数列极限存在准则Ⅰ,计算
精解 (Ⅰ)由于对n=1,2,…,
, 所以
与
可以理解为连续函数|lnt|[lnI|(1+t)]n与tn|lnt|(它们在t=0处都取值为0)在[0,1]上的定积分,所以只要比较这两个函数在(0,1)上的大小,即比较[ln(1+t)]n与tn在(0,1)上的大小即可.
当0<t<1时,0<ln(1+t)<t,所以对n=1,2,…有
[ln(1+t)]n<tn,
于是有
|lnt|[ln(1+t)]n<tn|lnt|.
从而,对n=1,2,…有

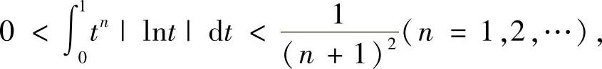
(Ⅱ)由(Ⅰ)的证明知,对n=1,2,…有

其中,

所以有 
且
于是,由数列极限存在准则Ⅰ得

附注 本题(Ⅱ)也可以不利用(Ⅰ)的证明结果,直接计算,具体如下:
由于,对于n=1,2,…有

并且
(由于nl→im∞lnn2=0,
是收敛的反常积分),所以,由数列极限存在准则Ⅰ,知

本题是综合题,其有关内容见提高篇02,05.
(19)分析 (Ⅰ)虽然利用积分中值定理由
可得 f(η)=f(0),但这里的η∈[0,2],不符合要求,因此作辅助函数
,并对它在[0,2]上应用拉格朗日中值定理.
(Ⅱ)想法在[2,3]上寻找一点η1,使得f(0)=f(η)=f(η1),则可由罗尔定理推得问题的结论.
精解 (Ⅰ)记
,则函数F(x)在[0,2]上可导,于是由拉格朗日中值定理知,存在η∈(0,2),使得
F(2)-F(0)=F′(η)(2-0),即
由此利用题设
,证得存在η∈(0,2),使得f(η)=f(0).
(Ⅱ)由于函数f(x)在[2,3]上连续,记其最大值与最小值分别为M与m,则

于是由介值定理知,存在η1∈[2,3],使得

由此可知,f(x)在[0,η]和[η,η1]上都满足罗尔定理条件,因此分别应用罗尔定理得ξ1∈(0,η)和ξ2∈(η,η1),使得
f′(ξ1)=f′(ξ2)(=0).
于是,f′(x)在[ξ1,ξ2]上满足罗尔定理条件,因此存在ξ∈(ξ1,ξ2)⊂(0,3),使得f″(ξ)=0.
附注 当f(x)在[a,b]上连续,在(a,b)内可导时,要证明存在ξ∈(a,b),使得f′(ξ)=0,只要在[a,b]上找到不同的两点x1,x2,使得f(x1)=f(x2)即可.
当f(x)在[a,b]上连续,在(a,b)内二阶可导时,要证明存在ξ∈(a,b),使得f″(ξ)=0,只要在[a,b]上找到不同三点x1,x2,x3,使得f(x1)=f(x2)=f(x3)即可.
本题是综合题,有关内容与证明方法见提高篇04.
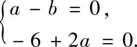
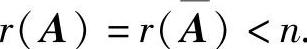
(20)分析 (Ⅰ)由方程组Ax=b有两个不同的解知
(
是Ax=b的增广矩阵),由此可以算出λ,a.
(Ⅱ)将(Ⅰ)算得的λ,a代入Ax=b,计算它的通解.
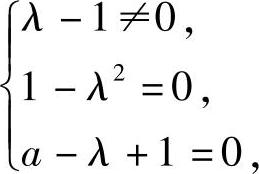
精解 (Ⅰ)由方程组Ax=b有两个不同的解知
r(A︙b)=r(A)<3.
对(A︙b)施行初等行变换:

由此可知,λ,a必须满足:

即
λ=-1,a=-2.
(Ⅱ)当λ=-1,a=-2时,方程组Ax=b的增广矩阵如下:

所以,Ax=b与方程组

同解.式(1)的导出组有基础解系(1,0,1)T.此外,式(1)有特解
,所以,式(1),
即Ax=b的通解为

附注 应熟练掌握非齐次线性方程组有解的充分必要条件及求通解的方法.
n元非齐次线性方程组Ax=b有唯一解的充分必要条件是
(其中
是增广矩阵),有无穷多解的充分必要条件是
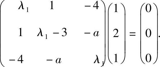
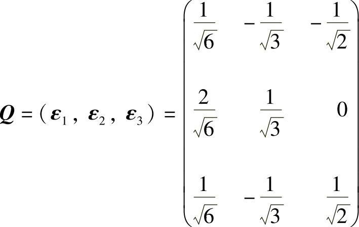
(21)分析 设A的对应特征向量α1=(1,2,1)T的特征值为λ1,由此建立方程组求得a及λ1,然后将算得的a代入A,算出A的其余特征值与对应的特征向量,确定正交矩阵Q.
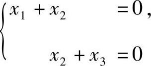
精解 由题设可知,正交矩阵Q的第1列应是实对称矩阵A的特征向量,所以A有特征向量α1=(1,2,1)T,设它对应的特征值为λ1,则(λ1E-A)α1=0(其中E是三阶单位矩阵),即

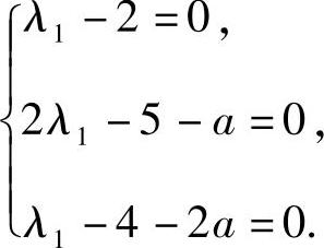
由此得方程组

解此方程组得a=-1,λ1=2.
将a=-1代入A得

由于

所以A有特征值λ1=2,λ2=5,λ3=-4.
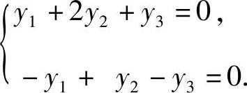
设对应λ2=5的特征向量为x=(x1,x2,x3)T,则x满足(5E-A)x=0,即

由于


所以方程组(1)与

同解,从而可取x为α2=(-1,1,-1)T.
设对应λ3=-4的特征向量为y=(y1,y2,y3)T,则
即 
所以可取α3=(-1,0,1)T.
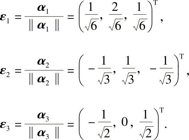
显然α1,α2,α3两两正交,现将它们单位化得

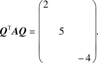
所以,取
(正交矩阵),它使
附注 本题是综合题,其有关内容及计算方法见提高篇18,20.
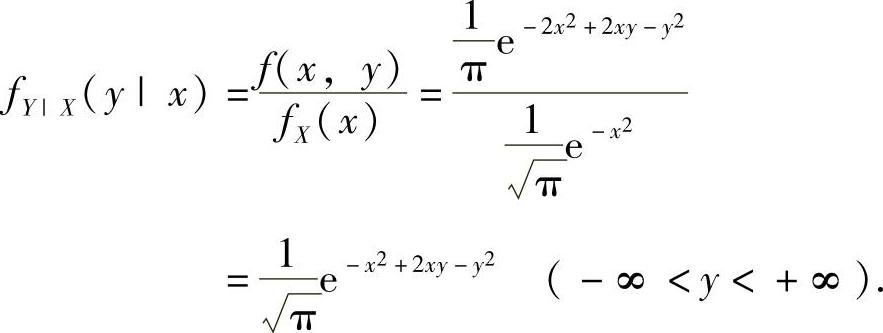
(22)分析 先算出关于随机变量X的边缘概率密度fX(x),然后计算A与fY|X(y|x).
精解 由于

所以由
得
,即Aπ=1,因此
将
代入f(x,y)及fX(x)得

所以对x∈(-∞,+∞)有

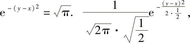
附注 在题解中有

它们是利用概率论的有关结论得到的,具体计算如下:
由于

其中
是随机变量
的概率密度,所以

同样可以得到
(23)分析 (Ⅰ)随机变量X可能取的值为0,1;Y可能取的值为0,1,2。于是计算各个概率P(X=i,Y=j)(i=0,1,j=0,1,2)即得二维随机变量(X,Y)的概率分布.
(Ⅱ)根据(Ⅰ)算得的(X,Y)的概率分布算出E(XY)与EX·EY,即可得到Cov(X,Y).
精解 (Ⅰ)由于


所以(X,Y)的概率分布用表表示为

(Ⅱ)由表可知

(X,Y)关于X的概率分布为

所以
(X,Y)关于Y的概率分布为

所以
因此,
附注 二维随机变量(X,Y)不论是离散型的,或是连续型的,其协方差往往用公式
Cov(X,Y)=E(XY)-EX·EY
计算,比较快捷.
本题是综合题,其有关内容及计算方法见提高篇21,24.