2010年全国硕士研究生入学统一考试试题
一、选择题:第(1)~(8)小题,每小题4分,共32分.下列每题给出的四个选项中,只有一个选项符合试题要求.
(1)若
,则a等于
(A)0.(B)1.(C)2.(D)3.
[ ]
(2)设y1,y2是一阶线性非齐次微分方程y′+p(x)y=q(x)的两个特解,若常数λ,μ使λy1+μy2是该方程的解,λy1-μy2是该方程对应的齐次方程的解,则

[ ]
(3)设函数f(x),g(x)具有二阶导数,且g″(x)<0.若g(x0)=a是g(x)的极值,则f(g(x))在x0取极大值的一个充分条件是
(A)f′(a)<0.(B)f′(a)>0.
(C)f″(a)<0.(D)f″(a)>0.
[ ]
(4)设f(x)=ln10x,g(x)=x,
,则当x充分大时有
(A)g(x)<h(x)<f(x).(B)h(x)<g(x)<f(x).
(C)f(x)<g(x)<h(x).(D)g(x)<f(x)<h(x).
[ ]
(5)设向量组Ⅰ:α1,α2,…,αr可由向量组Ⅱ:β1,β2,…,βs线性表示.下列命题正确的是
(A)若向量组Ⅰ线性无关,则r≤s.
(B)若向量组Ⅰ线性相关,则r>s.
(C)若向量组Ⅱ线性无关,则r≤s.
(D)若向量组Ⅱ线性相关,则r>s.
[ ]
(6)设A为四阶实对称矩阵,且A2+A=O.若A的秩为3,则A相似于

[ ]
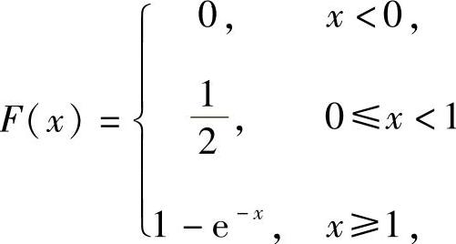
(7)设随机变量X的分布函数
,则P(X=1)=

[ ]
(8)设f1(x)为标准正态分布的概率密度,f2(x)为[-1,3]上均匀分布的概率密度,若

为概率密度,则a,b应满足
(A)2a+3b=4.(B)3a+2b=4.
(C)a+b=1.(D)a+b=2.
[ ]
二、填空题:第(9)~(14)小题,每小题4分,共24分.(https://www.daowen.com)
(9)设可导函数y=y(x)由方程
确定,则
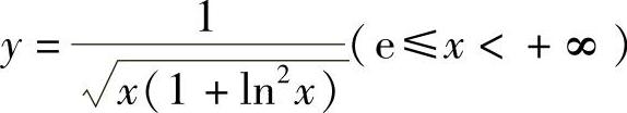
(10)设位于曲线
下方,x轴上方的无界区域为G,则G绕x轴旋转一周所得空间区域的体积为.
(11)设某商品的收益函数为R(p),收益弹性为1+p3,其中p为价格,且R(1)=1,则R(p)=____.
(12)若曲线y=x3+ax2+bx+1有拐点(-1,0),则b=____.
(13)设A,B为三阶矩阵,且|A|=3,|B|=2,|A-1+B|=2,则|A+B-1|=____.
(14)设X1,X2,…,Xn是来自总体N(μ,σ2)(σ>0)的简单随机样本.记统计量
,则ET=____.
三、解答题:第(15)~(23)小题,共94分.解答应写出文字说明、证明过程或演算步骤.
(15)(本题满分10分)
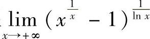
求极限
.
(16)(本题满分10分)
计算二重积分
,其中D由曲线
与直线
及
围成.
(17)(本题满分10分)
求函数u=xy+2yz在约束条件x2+y2+z2=10下的最大值和最小值.
(18)(本题满分10分)
(Ⅰ)比较
与
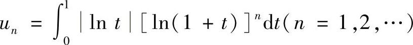
的大小,说明理由;
(Ⅱ)记
,求极限
(19)(本题满分10分)
函数f(x)在[0,3]上连续,在(0,3)内存在二阶导数,且

(Ⅰ)证明:存在η∈(0,2),使f(η)=f(0);
(Ⅱ)证明:存在ξ∈(0,3),使f″(ξ)=0.
(20)(本题满分11分)
设
,
.已知线性方程组Ax=b存在两个不同的解.
(Ⅰ)求λ,a;
(Ⅱ)求方程组Ax=b的通解.
(21)(本题满分11分)
设
,正交矩阵Q使得QTAQ为对角矩阵.若Q的第1列为
,求a,Q.
(22)(本题满分11分)
设二维随机变量(X,Y)的概率密度为

求常数A及条件概率密度fY|X(y|x).
(23)(本题满分11分)
箱中装有6个球,其中红、白、黑球的个数分别为1,2,3个.现从箱中随机地取出2个球,记X为取出的红球个数,Y为取出的白球个数.
(Ⅰ)求随机变量(X,Y)的概率分布;
(Ⅱ)求Cov(X,Y).