2011年全国硕士研究生入学统一考试试题
一、选择题:第(1)~(8)小题,每小题4分,共32分.下列每题给出的四个选项中,只有一个选项符合题目要求.
(1)已知当x→0时,f(x)=3sinx-sin3x与cxk是等价无穷小,则
(A)k=1,c=4.(B)k=1,c=-4.
(C)k=3,c=4.(D)k=3,c=-4.
[ ]
(2)已知函数f(x)在x=0处可导,且f(0)=0,则
(A)-2f′(0).(B)-f′(0).(C)f′(0).(D)0.
[ ]
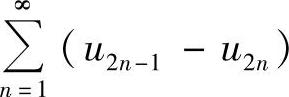
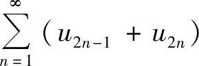
(3)设{un}是数列,则下列命题正确的是
(A)若
收敛,则
收敛.
(B)若
收敛,则
收敛.
(C)若
收敛,则
收敛.
(D)若
收敛,则
收敛.
[ ]
(4)设
,
,
,则I,J,K的大小关系是
(A)I<J<K.(B)I<K<J.(C)J<I<K.(D)K<J<I.
[ ]
(5)设A为三阶矩阵,将A的第二列加到第一列得矩阵B,再交换B的第二行与第三行得单位矩阵,记
,
,则A=
(A)P1P2.(B)P1-1P2.(C)P2P1.(D)P2P1-1.
[ ]
(6)设A为4×3矩阵,η1,η2,η3是非齐次线性方程组Ax=β的3个线性无关的解,k1,k2为任意常数,则Ax=β的通解为


[ ]
(7)设F1(x),F2(x)为两个分布函数,其相应的概率密度f1(x),f2(x)是连续函数,则必为概率密度的是
(A)f1(x)f2(x).(B)2f2(x)F1(x).
(C)f1(x)F2(x).(D)f1(x)F2(x)+f2(x)F1(x).
[ ]
(8)设总体X服从参数为λ(λ>0)的泊松分布,X1,X2,…,Xn(n≥2)为来自总体的简单随机样本,则对应的统计量
,T
,
(A)ET1>ET2,DT1>DT2.(B)ET1>ET2,DT1<DT2.
(C)ET1<ET2,DT1>DT2.(D)ET1<ET2,DT1<DT2.
[ ]
二、填空题:第(9)~(14)小题,每小题4分,共24分.
(9)设
,则f′(x)=.
,则dz(1,1)=____.(https://www.daowen.com)
(11)曲线
在点(0,0)处的切线方程为.
(12)曲线
,直线x=2及x轴所围成的平面图形绕x轴旋转所成的旋转体的体积为____.
(13)设二次型f(x1,x2,x3)=xTAx的秩为1,A中各行元素之和为3,则f在正交变换x=Qy下的标准形为____.
(14)设二维随机变量(X,Y)服从N(μ,μ;σ2,σ2;0),则E(XY2)=____.
三、解答题:第(15)~(23)小题,共94分.解答应写出文字说明、证明过程或演算步骤.
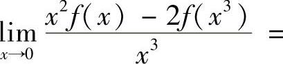
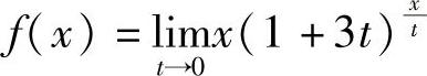
(15)(本题满分10分)
求极限
.
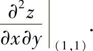
(16)(本题满分10分)
已知函数f(u,v)具有连续的二阶偏导数,f(1,1)=2是f(u,v)的极值,z=f(x+y,f(x,y)).求
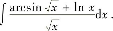
(17)(本题满分10分)
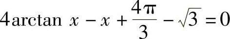
求
(18)(本题满分10分)
证明:
恰有两实根.
(19)(本题满分10分)
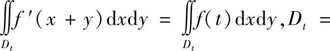
设函数f(x)在[0,1]上有连续导数,f(0)=1,且
,求f(x)的表达式.
(20)(本题满分11分)
设向量组α1=(1,0,1)T,α2=(0,1,1)T,α3=(1,3,5)T不能由向量组β1=(1,1,1)T,β2=(1,2,3)T,β3=(3,4,a)T线性表出.
(Ⅰ)求a的值;
(Ⅱ)将β1,β2,β3用α1,α2,α3线性表出.
(21)(本题满分11分)
A为三阶实对称矩阵,A的秩为2,即r(A)=2,且

求:(Ⅰ)A的特征值与特征向量;
(Ⅱ)矩阵A.
(22)(本题满分11分)


P(X2=Y2)=1.
求:(Ⅰ)二维随机变量(X,Y)的概率分布;
(Ⅱ)Z=XY的概率分布;
(Ⅲ)X,Y的相关系数ρXY.
(23)(本题满分11分)
设二维随机变量(X,Y)服从区域G上的均匀分布,其中G是由x-y=0,x+y=2与y=0所围成的区域.
(Ⅰ)求边缘概率密度fX(x);
(Ⅱ)求条件密度函数fX|Y(x|y).